

Hãy luôn nhớ cảm ơn và vote 5*
nếu câu trả lời hữu ích nhé!
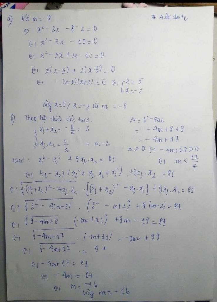
a)
với m=-8:
x^2-3x+m-2=0
x^2-3x-8-2=x^2-3x-10=0
Δ=(-3)^2-4.1.(-10)=9+40=49>0
suy ra pt có 2 nghiệm phân biệt
x_1=(-b+√Δ):2a=(3+√49):2=(3+7):2=10:2=5
x_2=(-b-√Δ):2a=(3-√49):2=(3-7):2=(-4):2=-2
b)
x^2-3x+m-2=0
Δ=(-3)^2-4.1.(m-2)=9-4m+8=17-4m
để pt có 2 nghiệm pb thì Δ>0
suy ra 17-4m>0
suy ra 4m<17
suy ra m<17/4
theo hệ thức viete có x1+x2=3(1) và x1x2=m-2
x1^3-x2^3+9x1x2=81
(x1-x2)(x1^2+x1x2+x2^2)+9x1x2=81
(x1-x2)[(x1+x2)^2-x1x2]+9x1x2=81
thay x1+x2=3 và x1x2=m-2 được:
(x1-x2)[3^2-m+2]+9m-18=81
(x1-x2)(11-m)+9m-18=81
(x1-x2)(11-m)=99-9m
x1-x2=(99-9m):(11-m)=9
suy ra:
x1=9+x2
thay vào (1):
9+x2+x2=3
2x2=-6
x2=-3
suy ra x1=9+(-3)=6
thay x1=6 và x2=-3 vào x1x2=m-2:
6.(-3)=m-2
-18=m-2
m=-16(nhận)
vậy với m=-16 thì pt có nghiệm thỏa yc đề bài
Hãy giúp mọi người biết câu trả lời này thế nào?

Bảng tin