

Hãy luôn nhớ cảm ơn và vote 5*
nếu câu trả lời hữu ích nhé!
`\color{#FF0000}{T}\color{#FF7F24}{i}\color{#FFFF00}{t}\color{#7FFF00}{u}\color{#00F5FF}{u}\color{#FF1493}{u}`
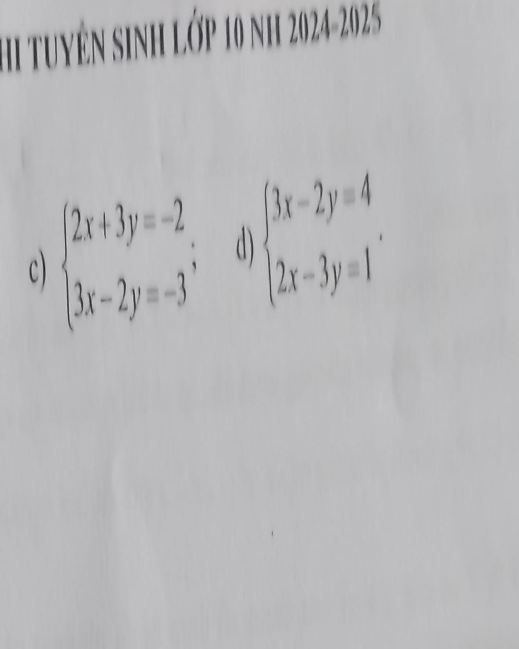
$c)$ $\begin{cases} 2x+3y=-2\\3x-2y=-3 \end{cases}$
`->` $\begin{cases} 4x+6y=-4\\9x-6y=-9 \end{cases}$
`->` $\begin{cases} 13x=-13\\2x+3y=-2 \end{cases}$
`->` $\begin{cases} x=-1\\2.(-1)+3y=-2 \end{cases}$
`->` $\begin{cases} x=-1\\y=0 \end{cases}$
Vậy pt có nghiệm duy nhất `(x; y)=(-1; 0)`
$d)$ $\begin{cases} 3x-2y=4\\2x-3y=1 \end{cases}$
`->` $\begin{cases} 6x-4y=8\\6x-9y=3 \end{cases}$
`->` $\begin{cases} 5y=5\\3x-2y=4 \end{cases}$
`->` $\begin{cases} y=1\\3x-2.1=4 \end{cases}$
`->` $\begin{cases} y=1\\x=2 \end{cases}$
Vậy pt có nghiệm duy nhất `(x; y)=(2; 1)`
Hãy giúp mọi người biết câu trả lời này thế nào?
Bảng tin
6248
87476
2936
Thêm kết luận vào bạn nhé.
3087
1278
1970
tuỳ vào câu hỏi
3087
1278
1970
nghiệm rõ r k cần trl câu nào chx rõ ms cần
3087
1278
1970
mà thôi nay t k cày nên nghe
6248
87476
2936
Cứ kết luận cho đầy đủ nha
3087
1278
1970
bt r