Đăng nhập để hỏi chi tiết


Hãy luôn nhớ cảm ơn và vote 5*
nếu câu trả lời hữu ích nhé!
`@` Angelmare
Đáp án:
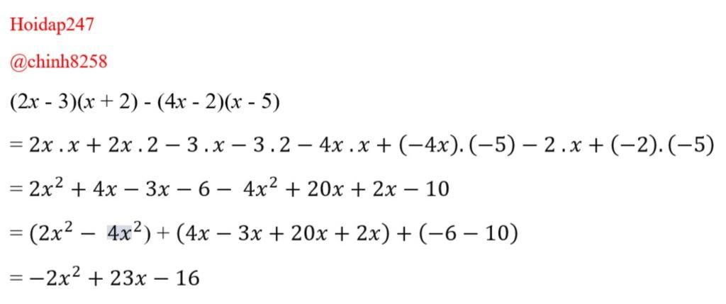
`(2x-3)(x+2)-(4x-2)(x-5)`
`=2x(x+2)-3(x+2)-4x(x-5)+2(x-5)`
`=2x^2+4x-3x-6-4x^2+20x+2x-10`
`=(2x^2-4x^2)+(4x+20x+2x-3x)-(6+10)`
`=-2x^2+23x-16`
Hãy giúp mọi người biết câu trả lời này thế nào?
Bảng tin