

Hãy luôn nhớ cảm ơn và vote 5*
nếu câu trả lời hữu ích nhé!

Giải thích các bước giải:
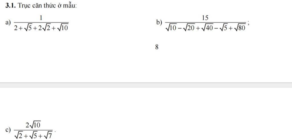
a.Ta có:
$\dfrac1{2+\sqrt5+2\sqrt2+\sqrt{10}}$
$=\dfrac1{(2+\sqrt5)+\sqrt2(2+\sqrt5)}$
$=\dfrac1{(2+\sqrt5)(1+\sqrt2)}$
$=\dfrac{(\sqrt5-2)(\sqrt2-1)}{(2+\sqrt5)(\sqrt5-2)(\sqrt2-1)(1+\sqrt2)}$
$=\dfrac{(\sqrt5-2)(\sqrt2-1)}{(5-4)(2-1)}$
$=(\sqrt5-2)(\sqrt2-1)$
b.Ta có:
$\dfrac{15}{\sqrt{10}-\sqrt{20}+\sqrt{40}-\sqrt5+\sqrt{80}}$
$=\dfrac{15}{3\sqrt{10}-2\sqrt{5}-\sqrt{5}+4\sqrt{5}}$
$=\dfrac{15}{3\sqrt{10}+\sqrt{5}}$
$=\dfrac{3\sqrt{5}}{3\sqrt{2}+1}$
$=\dfrac{3\sqrt{5}(3\sqrt2-1)}{(3\sqrt2-1)(3\sqrt{2}+1)}$
$=\dfrac{3\sqrt{5}(3\sqrt2-1)}{(3\sqrt2)^2-1}$
$=\dfrac{3\sqrt{5}(3\sqrt2-1)}{17}$
c.Ta có:
$\dfrac{2\sqrt{10}}{\sqrt2+\sqrt5+\sqrt7}$
$=\dfrac{7+2\sqrt{10}-7}{\sqrt2+\sqrt5+\sqrt7}$
$=\dfrac{2+2\sqrt{2}.\sqrt5+5-7}{\sqrt2+\sqrt5+\sqrt7}$
$=\dfrac{(\sqrt2+\sqrt5)^2-7}{\sqrt2+\sqrt5+\sqrt7}$
$=\dfrac{(\sqrt2+\sqrt5-\sqrt7)(\sqrt2+\sqrt5+\sqrt7)}{\sqrt2+\sqrt5+\sqrt7}$
$=\sqrt2+\sqrt5-\sqrt7$
Hãy giúp mọi người biết câu trả lời này thế nào?

Bảng tin
420
874
376
hoidap247.com/cau-hoi/7968191 Giup em cau nay nua a