

Hãy luôn nhớ cảm ơn và vote 5*
nếu câu trả lời hữu ích nhé!
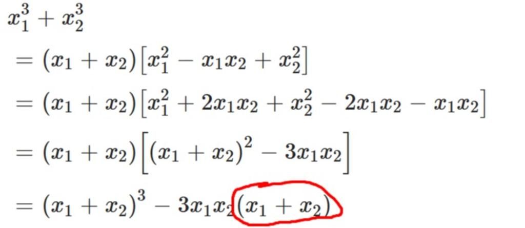
Quy tắc nhân `:`
`a.(b+-c)=a.b+-a.c`
_________________________
Áp dụng vào ta có `:`
`(x_1+x_2).[(x_1+x_2)^2-3x_1x_2]`
`=(x_1+x_2).(x_1+x_2)^2 +(x_1+x_2).(-3x_1x_2)`
`=(x_1+x_2)^3-3x_1x_2 .(x_1+x_2)`
Hãy giúp mọi người biết câu trả lời này thế nào?

Đáp án `+`Giải thích các bước giải:
Áp dụng tính chất nhân ta có :
`(x_1+x_2)*[*x_1+x_2)^2-3x_1 x_2]`
`=(x_1+x_2)*(x_1+x_2)^2+(x_1+x_2)*(-3x_1 x_2)`
`=(x_1+x_2)^3-3x_1x_2*(x_1+x_2)` `(đpcm)`
Vậy : ...
Hãy giúp mọi người biết câu trả lời này thế nào?
Bảng tin