

giải hệ pt a)1/x+1/y=2/9 với 3/x+2/y=1/2
b)21a+b=3000 với 20a+b=3030
giúp vs
Hãy luôn nhớ cảm ơn và vote 5*
nếu câu trả lời hữu ích nhé!
Đáp án+Giải thích các bước giải:
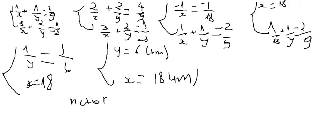
`a:)` ĐK: `x;yne0`
`{(1/x+1/y=2/9(1)),(3/x+2/y=1/2(2)):}`
Nhân `2` vế của phương trình `(1)` với `3,` ta được hệ phương trình:
`{(3/x+3/y=2/3(3)),(3/x+2/y=1/2):}`
Trừ theo `2` vế của phương trình `(3)` với `(2),` ta được:
`(3/x-3/x)+(3/y-2/y)=2/3-1/2`
`1/y=1/6`
`y=6(tm)`
Thay `y=6(tm)` vào phương trình `(2),` ta có:
`3/x+1/3=1/2`
`3/x=1/6`
`x=18(tm)`
Vậy `(x;y)=(18;6)` là nghiệm của hệ phương trình
`b:)`
`{(21a+b=3000(1)),(20a+b=3030(2)):}`
Trừ theo `2` vế của phương trình `(1)` và `(2),` ta được:
`(21a-20a)+(b-b)=3000-3030`
`a=-30`
Thay `a=-30` vào phương trình `(2),` ta được:
`20*(-30)+b=3030`
`-600+b=3030`
`b=3630`
Vậy `(a;b)=(-30;3630)` là nghiệm của hệ phương trình
$\color{#FFFF00}{Vi}\color{#CCFF00}{et}\color{#99FF00} {Na}\color{#66FF00}{m}\color{#33FF00}{20}\color{#00FF00} {10}$
Hãy giúp mọi người biết câu trả lời này thế nào?

Đáp án+Giải thích các bước giải`:`
`a)`ĐK`:x,y ne 0`
Hãy giúp mọi người biết câu trả lời này thế nào?
Bảng tin