

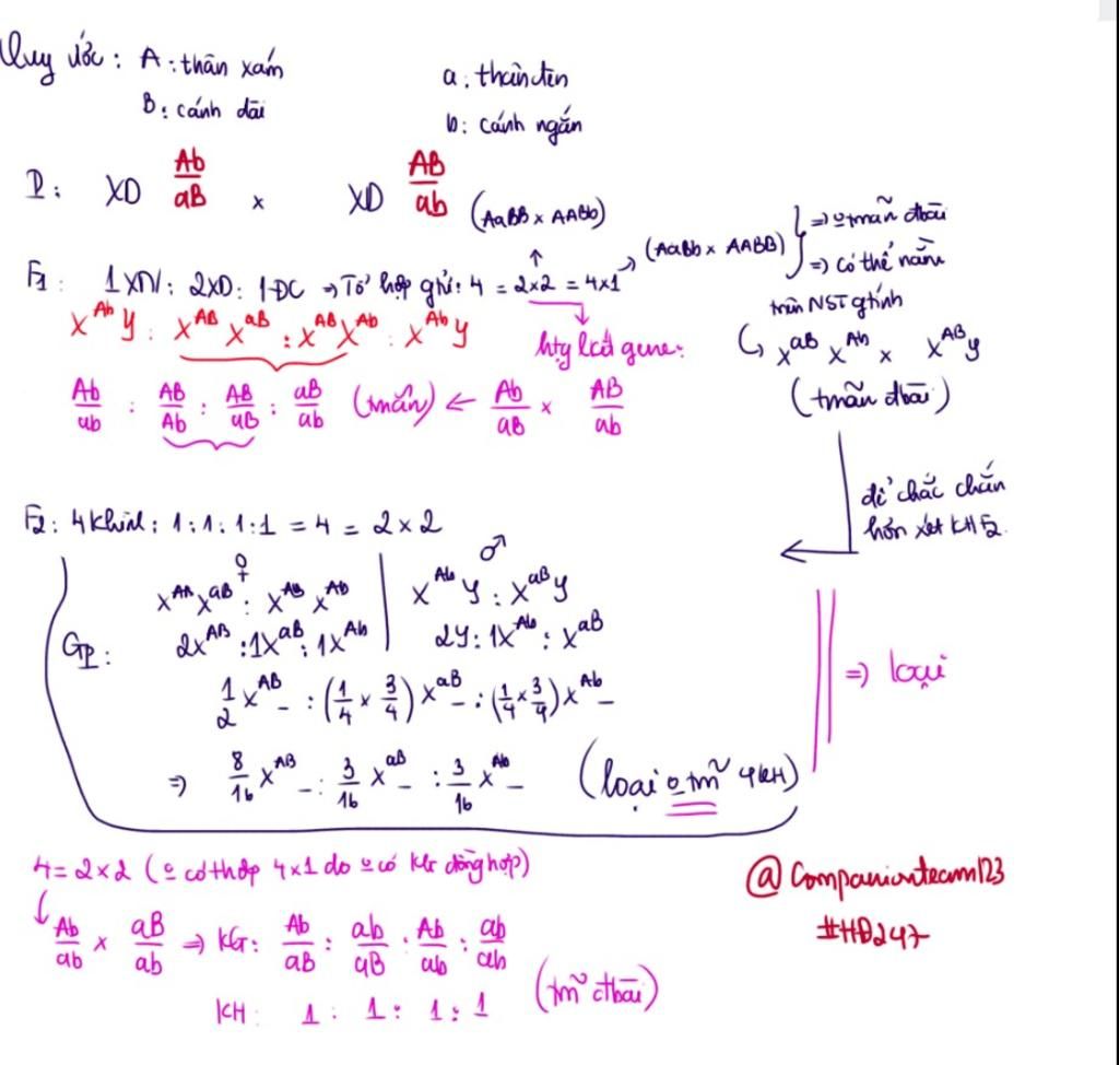
Ở ruồi giấm về tính trạng màu thân có thân xám trội hoàn toàn so với thân đen; về kích thước cánh có cánh dài trội hoàn toàn so với cánh ngắn. Trong 1 phép lai P giữa 2 ruồi thân xám, cánh dài A-1 với nhau thu được F1 có tỷ lệ 1 xám, ngắn: 2 xám, dài: 1 đen dài. Người ta lấy 2 cá thể F1 cho giao phối với nhau được F2 có 4 kiểu hình với tỷ lệ 1:1:1:1. Biết không có đột biến.
a) F1 có tối đa 10 kiểu gene, F2 có tỷ lệ kiểu gene như tỷ lệ kiểu hình.
b) Nếu cho ruồi F1 giao phối ngẫu nhiên với nhau số phép lai tối đa không kể thay đổi vai trò đực cái là 28.
c) Các gene đang xét cùng nằm trên 1 nhiễm sắc thể.
d) Kiểu gene của 2 ruồi thân xám, cánh dài thế hệ P đem lai khác nhau.
Hãy luôn nhớ cảm ơn và vote 5*
nếu câu trả lời hữu ích nhé!
Bảng tin