

giúp em với ạ huhuhuhu
đề bài 1 là rút gọn ạ, không cần làm phần A và C ạ
Hãy luôn nhớ cảm ơn và vote 5*
nếu câu trả lời hữu ích nhé!
Đáp án+Giải thích các bước giải:
Bài `1`:
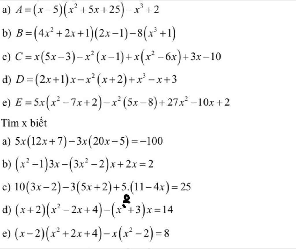
`a)A=(x-5).(x^{2}+5x+25)-x^{3}+2`
`=x.(x^{2}+5x+25)-5.(x^{2}+5x+25)-x^{3}+2`
`=(x^{3}+5x^{2}+25x-5x^{2}-25x-125)-x^{3}+2`
`=x^{3}-125-x^{3}+2`
`=-123`
Vậy `A=-123`
`b)B=(4x^{2}+2x+1).(2x-1)-8.(x^{3}+1)`
`=(8x^{3}-4x^{2}+4x^{2}-2x+2x-1)-8x^{3}-8`
`=8x^{3}-1-8x^{3}-8`
`=-9`
Vậy `B=-9`
`c)C=x.(5x-3)-x^{2}.(x-1)+x.(x^{2}-6x)+3x-10`
`=5x^{2}-3x-x^{3}+x^{2}+x^{3}-6x^{2}+3x-10`
`=(x^{3}-x^{3})+(5x^{2}+x^{2}-6x^{2})+(3x-3x)-10`
`=-10`
Vậy `C=-10`
`d)D=(2x+1).x-x^{2}.(x+2)+x^{3}-x+3`
`=2x^{2}+x-x^{3}-2x^{2}+x^{3}-x+3`
`=(x^{3}-x^{3})+(2x^{2}-2x^{2})+(x-x)+3`
`=3`
Vậy `D=3`
`e)E=5x.(x^{2}-7x+2)-x^{2}.(5x-8)+27x^{2}-10x+2`
`=5x^{3}-35x^{2}+10x-5x^{3}+8x^{2}+27x^{2}-10x+2`
`=(5x^{3}-5x^{3})+(-35x^{2}+8x^{2}+27x^{2})+(10x-10x)+2`
`=2`
Vậy `E=2`
Hãy giúp mọi người biết câu trả lời này thế nào?

`a) A = (x-5)(x^2+5x+15) - x^3 + 2`
` A = x^3 - 125 - x^3 + 2`
` A = -123`
`b) B = (4x^2+2x+1)(2x-1) - 8(x^3+1)`
` B = 8x^3 - 1 - 8x^3 - 8`
` B = -9`
`c) C = x(5x-3) - x^2(x-1) + x(x^2-6x) + 3x - 10`
` C = 5x^2 - 3x - x^3 + x^2 + x^3 -6x^2 + 3x - 10`
` C = -10`
`d) D = (2x+1)x - x^2(x+2) + x^3 - x + 3`
` D = 2x^2 + x - x^3 - 2x^2 + x^3 - x + 3`
` D = 3`
`e) E = 5x(x^2-7x+2) - x^2(5x-8) + 27x^2 - 10x + 2`
` E = 5x^3 - 35x^2 + 10x - 5x^3 + 8x^2 + 27x^2 - 10x + 2`
` E = 2`
Hãy giúp mọi người biết câu trả lời này thế nào?

Bảng tin
882
305
561
còn 1 mục tiêu nx là gì v a
26649
333947
17804
hả:))