

Hãy luôn nhớ cảm ơn và vote 5*
nếu câu trả lời hữu ích nhé!
`\color{#FF0000}{T}\color{#FF7F24}{i}\color{#FFFF00}{t}\color{#7FFF00}{u}\color{#00F5FF}{u}\color{#FF1493}{u}`
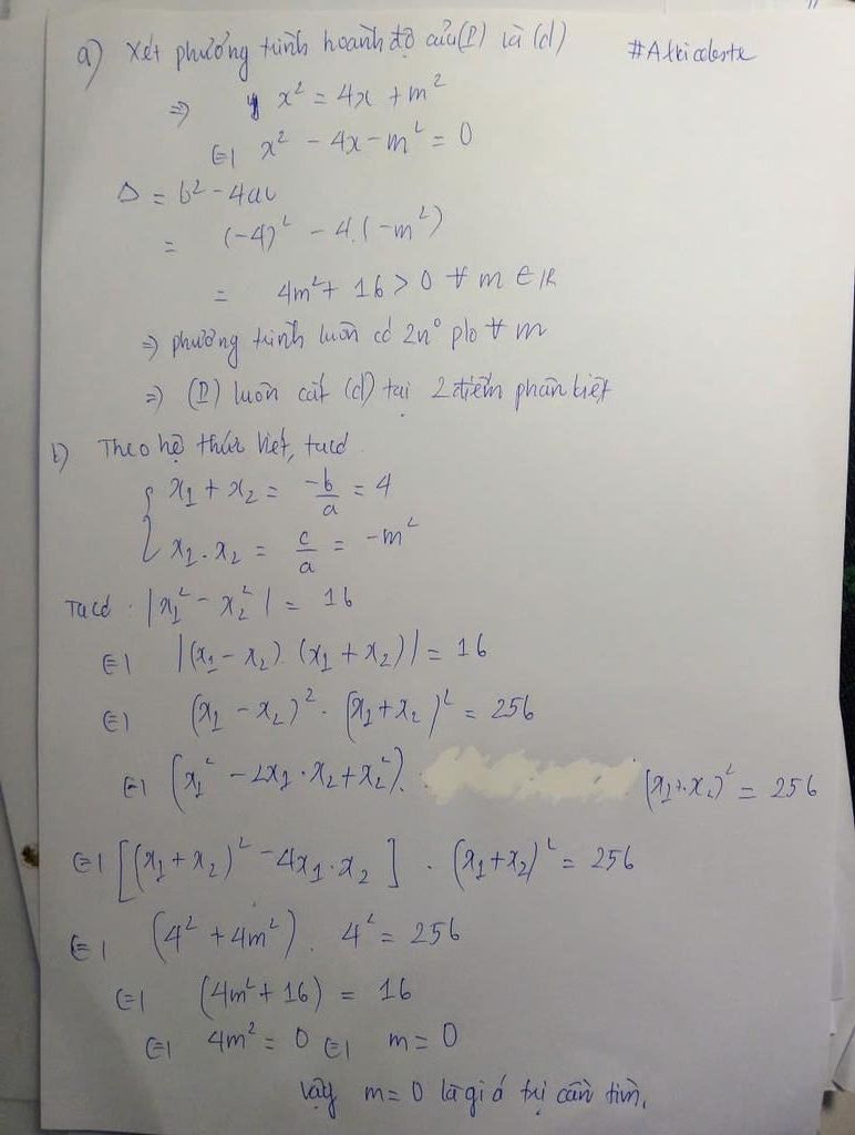
$a)$ Xét pt hoành độ giao điểm của $(P)$ và $(d)$ có:
`x^2=4x+m^2`
`-> x^2-4m-m^2=0`
Có `\Delta'=2^2-(-m^2)=m^2+4>=4>0 AA m`
`-> (P)` luôn cắt `(d)` tại `2` điểm phân biệt
$b)$ Theo Viét có `x_1+x_2=4; x_1x_2=-m^2`
Có `|x_1^2-x_2^2|=16`
`-> |(x_1+x_2)(x_1-x_2)|=16`
`-> |4(x_1-x_2)|=16`
`-> |x_1-x_2|=4`
`_` `TH1: x_1-x_2=4` khi `x_1>x_2`
`-> x_1=4; x_2=0 (TM)`
`-> -m^2=4.0`
`-> m=0 (TM)`
`_` `TH2: x_1-x_2=-4` khi `x_1<x_2`
`-> x_1=0; x_2=4 (TM)`
`-> m=0`
Vậy `m=0`
Hãy giúp mọi người biết câu trả lời này thế nào?
![]()
Bảng tin
27
156
22
xin tips viết nhanh như a ạ.
6246
87160
2934
Như thế còn chậm ấy b
25
786
22
bảo trg nhóm duyệt e với cj, acc phantom kia vức rùi
6246
87160
2934
okee
6246
87160
2934
Gửi yc đi e
27
156
22
Như thế còn chậm ấy b `->` Ò,