

Giúp với aa ••••••••
Hãy luôn nhớ cảm ơn và vote 5*
nếu câu trả lời hữu ích nhé!
Đáp án`+` Giải thích các bước giải:
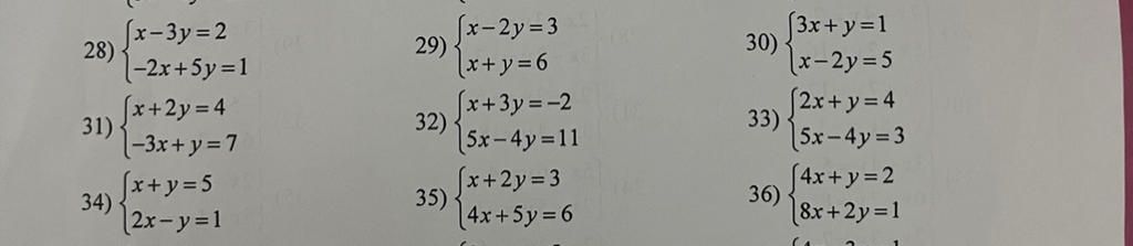
`{(x-3y=2(1)),(-2x+5y=1(2)):}`
Từ py `(1)` ta có:
`x=3y+2(**)`
Thay `(**)` vào pt `(2)` ta có:
`-2.(3y+2)+5y=1`
`-6y-4+5y=1`
`-y=5`
`y=-5`
`=> x=3.(-5)+2=-13`
Vậy hpt có nghiệm là `(-13;-5)`
`------`
`{(x-2y=3(1)),(x+y=6(2)):}`
Từ pt `(1)` ta có:
`x=2y+3(**)`
Thay `(**)` vào pt `(2)` ta được :
`2y+3+y=6`
`3y+3=6`
`3y=3`
`y=1`
`=> x=2.1+3=5`
Vậy hpt có nghiệm là `(5;1)`
`----------`
`{(3x+y=1(1)),(x-2y=5(1)):}`
Từ pt `(1)` ta có:
`y=1-3x(**)`
Thay `(**)` vào py `(2)` ta được :
`x-2(1-3x)=5`
`x-2+6x=5`
`7x=7`
`x=1`
`=> y=1-3.1=-2`
Vậy hpt có nghiệm là `(1;-2)`
`----------`
`{(x+2y=4(1)),(-3x+y=7(2)):}`
Từ pt `(1)` ta có:
`x=4-2y(**)`
Thay `(**)` vào pt `(2)` ta được :
`-3(4-2y)+y=7`
`-12+6y+y=7`
`7y=19`
`y=19/7`
`=> x=4-2.19/7=-10/7`
Vậy hpt có nghiệm là `(-10/7;19/7)`
`------`
`{(x+3y=-2(1)),(5x-4y=11(2)):}`
Từ pt`(1)` ta có:
`x=-2-3y(**)`
Thay `(**)` vào pt `(2)` ta được:
`5(-2-3y)-4y=11`
`-10-15y-4y=11`
`-19y=21`
`y=-21/19`
`=> x=-2-3.(-21/19)=25/19`
Vậy hpt có nghiệm là `(25/19;-21/19`
`-------`
`{(2x+y=4(1)),(5x-4y=3(2)):}`
Từ pt `(1)` ta có:
`y=4-2x(**)`
Thay `(**)` vào pt `(2)` ta được
`5x-4(4-2x)=3`
`5x-16+8x=3`
`13x=19`
`x=19/13`
`=> y=4-2.19/13=14/13`
Vậy hpt có nghiệm là `(19/13;14/13)`
`-----`
`{(x+y=5(1)),(2x-y=1(2)):}`
Từ pt `(1)` ta có:
`x=5-y(**)`
Thay `(**)` vào pt `(2)` ta được :
`2(5-y)-y=1`
`10-2y-y=1`
`-3y=-9`
`y=3`
`=> x=5-3=2`
Vậy hpt có nghiệm là `(2;3)`
`------`
`{(x+2y=3(1)),(4x+5y=6(2)):}`
Từ pt `(1)` ta có:
`x=3-2y(**)`
Thay `(**)` vào pt `(2)` ta được:
`4(3-2y)+5y=6`
`12-8y+5y=6`
`-3y=-6`
`y=2`
`=> x=3-2.2=-1`
Vậy hpt có nghiệm là `(-1;2)`
`------`
`{(4x+y=2(1)),(8x+2y=1(2)):}`
Từ pt `(1)` ta có:
`y=2-4x(**)`
Thay `(**)` vào pt `(2)` ta được :
`8x+2(2-4x)=1`
`8x+4-8x=1`
`0x+4=1(vô lý )`
Vậy hpt vô nghiệm
Hãy giúp mọi người biết câu trả lời này thế nào?
![]()
Bảng tin