

Hãy luôn nhớ cảm ơn và vote 5*
nếu câu trả lời hữu ích nhé!
Đáp án+Giải thích các bước giải:
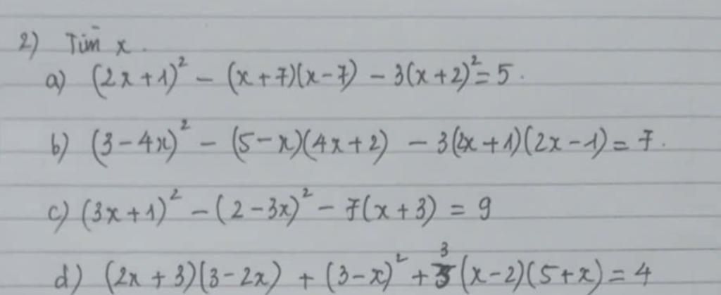
`a)(2x+1)^{2}-(x+7).(x-7)-3.(x+2)^{2}=5`
`(2x)^{2}+2.2x.1+1^{2}-(x^{2}-7^{2})-3.(x^{2}+2.x.2+2^{2})=5`
`4x^{2}+4x+1-x^{2}+49-3x^{2}-12x-12=5`
`(4x^{2}-x^{2}-3x^{2})+(4x-12x)+(1-12+49)=5`
`-8x+38-5=0`
`-8x+33=0`
`-8x=-33`
`x=33/8`
Vậy `x=33/8`
`b)(3-4x)^{2}-(5-x).(4x+2)-3.(2x+1).(2x-1)=7`
`3^{2}-2.3.4x+(4x)^{2}-(20x+10-4x^{2}-2x)-3.[(2x)^{2}-1^{2}]=7`
`9-24x+16x^{2}-(-4x^{2}+18x+10)-3.(4x^{2}-1))=7`
`16x^{2}-24x+9+4x^{2}-18x-10-12x^{2}+3=7`
`8x^{2}-42x-5=0`
`8.(x^{2}-21/4x-5/8)=0`
`x^{2}-2.x. 21/8+(21/8)^{2}-5/8-(21/8)^{2}=0`
`(x-21/8)^{2}-\frac{481}{64}=0`
`(x-21/8)^{2}=(\pm\frac{\sqrt{481}}{8})^{2}`
`x-21/8=\frac{\sqrt{481}}{8}` hoặc `x-21/8=-\frac{\sqrt{481}}{8}`
`x=\frac{21+\sqrt{481}}{8}` hoặc `x=\frac{21-\sqrt{481}}{8}`
Vậy `x\in{\frac{21+\sqrt{481}}{8};\frac{21-\sqrt{481}}{8}}.`
`c)(3x+1)^{2}-(2-3x)^{2}-7.(x+3)=9`
`(3x+1-2+3x).(3x+1+2-3x)-7x-21-9=0`
`(6x-1).3-7x-30=0`
`18x-3-7x-30=0`
`11x-33=0`
`11x=33`
`x=3`
Vậy `x=3`
`d)(2x+3).(3-2x)+(3-x)^{2}+3.(x-2).(5+x)=4`
`(3+2x).(3-2x)+3^{2}-2.3.x+x^{2}+(3x-6).(5+x)=4`
`3^{2}-(2x)^{2}+9-6x+x^{2}+(15x+3x^{2}-30-6x)=4`
`9-4x^{2}+x^{2}-6x+9+(3x^{2}+9x-30)=4`
`-3x^{2}-6x+18+3x^{2}+9x-30=4`
`3x-12-4=0`
`3x-16=0`
`3x=16`
`x=16/3`
Vậy `x=16/3`
Hãy giúp mọi người biết câu trả lời này thế nào?
Bảng tin
921
20925
523
Check buff hộ em với anh 2470375. Em thấy khá khả nghi vì 11 câu gần nhất có tận 9 câu hay nhất.