Đăng nhập để hỏi chi tiết


Hãy luôn nhớ cảm ơn và vote 5*
nếu câu trả lời hữu ích nhé!
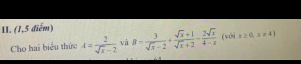
`B= (sqrtx +2)/(sqrtx-2)`
`A/B >= 2/(x+2)`
`<=> 2/(sqrtx-2) : (sqrtx +2)/(sqrtx-2) >= 2/(x+2)`
`<=> 2/(sqrtx-2) . (sqrtx -2)/(sqrtx+2) >= 2/(x+2)`
`<=> 2/(sqrtx+2) >= 2/(x+2)`
`<=>sqrtx +2 <= x+2`
`<=>x-sqrtx >= 0`
`<=>sqrtx(sqrtx -1)>=0`
`<=>sqrtx-1>=0(text(vì) sqrtx >= 0)`
`<=>sqrtx >=1`
`<=>x>=1`
Kết hợp với điều kiện `=>x >= 1 ; x ne 4`
Hãy giúp mọi người biết câu trả lời này thế nào?
Bảng tin