

Hãy luôn nhớ cảm ơn và vote 5*
nếu câu trả lời hữu ích nhé!
Đáp án`+`Giải thích các bước giải:
Bài `5.`
`1)` `2+3/4=8/4+3/4=(8+3)/4=11/4`
`2)` `5/3-1=5/3-3/3=(5-3)/3=2/3`
`3)` `-1+1/5=(-5)/5+1/5=((-5)+1)/5=-4/5`
`4)` `-1-6/5=(-5)/5-6/5=((-5)-6)/5=-11/5`
`5)` `-3+(-3)/7=(-21)/7+(-3)/7=((-21)+(-3))/7=-24/7`
`6)` `(-6)/7-2=(-6)/7-14/7=((-6)-14)/7=-20/7`
Bài `6.`
`1)` `2 3/5-1 2/3=13/5-5/3=39/15-25/15=14/15`
`2)` `3 3/7+2 1/2=24/7+5/2=48/14+35/14=83/14`
`3)` `-3 1/2-2 1/4=-7/2-9/4=-14/4-9/4=-23/4`
`4)` `-2 1/2-3 1/4=-5/2-13/4=-10/4-13/4=-23/4`
`5)` `-4 1/2+2 3/10=-9/2+23/10=-45/10+23/10=-22/10=-11/5`
`6)` `-6 1/7-(-7 1/6)=-43/7+43/6=-258/42+301/42=43/42`
Hãy giúp mọi người biết câu trả lời này thế nào?

Đáp án: Gửi đáp án ạ `!!!`
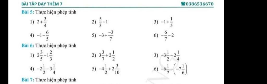
Bài `5`: Thực hiện phép tính:
`1.` `2` `+` `3/4`
`=` `8/4` `+` `3/4`
`=` `11/4`
`2.` `5/3` `-` `1`
`=` `5/3` `-` `3/3`
`=` `2/3`
`3.` `-1` `+` `1/5`
`=` `(-5)/5` `+` `1/5`
`=` `(-4)/5`
`4.` `-1` `-` `6/5`
`=` `(-5)/5` `-` `6/5`
`=` `(-11)/5`
`5.` `-3` `+` `(-3)/7`
`=` `(-21)/7` `+` `(-3)/7`
`=` `(-24)/7`
`6.` `(-6)/7` `-` `2`
`=` `(-6)/7` `-` `14/7`
`=` `(-20)/7`
Bài `6`: Thực hiện phép tính:
`1.` `2``3/5` `-` `1``2/3`
`=` `13/5` `-` `5/3`
`=` `39/15` `-` `25/15`
`=` `14/15`
`2.` `3``3/7` `+` `2``1/2`
`=` `24/7` `+` `5/2`
`=` `48/14` `+` `35/14`
`=` `83/14`
`3.` `-3``1/2` `-` `2``1/4`
`=` `(-7)/2` `-` `9/4`
`=` `(-14)/4` `-` `9/4`
`=` `(-23)/4`
`4.` `-2``1/2` `-` `3``1/4`
`=` `(-5)/2` `-` `13/4`
`=` `(-10)/4` `-` `13/4`
`=` `(-23)/4`
`5.` `-4``1/2` `+` `2``3/10`
`=` `(-9)/2` `+` `23/10`
`=` `(-45)/10` `+` `23/10`
`=` `(-22)/10` `=` `(-11)/5`
`6.` `-6``1/7` `-` `(-7 1/6)`
`=` `(-43)/7` `-` `(-43)/6`
`=` `(-43)/7` `+` `43/6`
`=` `(-258)/42` `+` `301/42`
`=` `43/42`.
Chúc bạn học tốt ạ `!!!`
`color{darkslateblue}{#}``color{slateblue}color{mediumslateblue}{Quangnhan2k12}``color{plum}{౨ৎ}`
Hãy giúp mọi người biết câu trả lời này thế nào?

Bảng tin
770
3764
1015
có 3day mà cày nhìu v:)
474
854
285
Thôi ko sao bt đâi dc hn lại sướng thôi
1261
14
952
:))
1261
14
952
có 3day mà cày nhìu v:) `->` chậm như cái j í -_-
770
3764
1015
nhầm chứ, 2day th
770
3764
1015
mà m tạo nhiều acc lmj
1261
14
952
acc đầu tiên :)
1261
14
952
ê vô cm xth của tuii điiiii