Đăng nhập để hỏi chi tiết


Giải hộ em câu 11 vs ạ
Hãy luôn nhớ cảm ơn và vote 5*
nếu câu trả lời hữu ích nhé!

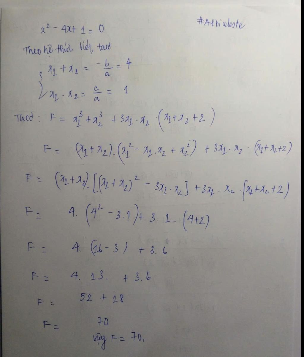
Đáp án: $F=70$
Giải thích các bước giải:
Vì $x_1, x_2$ là nghiệm của phương trình
$\to \begin{cases}x_1+x_2=4\\x_1x_2=1\end{cases}$
Ta có:
$F=x_1^3+x_2^3+3x_1x_2(x_1+x_2+2)$
$\to F=x_1^3+x_2^3+3x_1x_2(x_1+x_2)+6x_1x_2$
$\to F=(x_1+x_2)^3+6x_1x_2$
$\to F=4^3+6\cdot 1$
$\to F=70$
Hãy giúp mọi người biết câu trả lời này thế nào?
Bảng tin