

Hãy luôn nhớ cảm ơn và vote 5*
nếu câu trả lời hữu ích nhé!
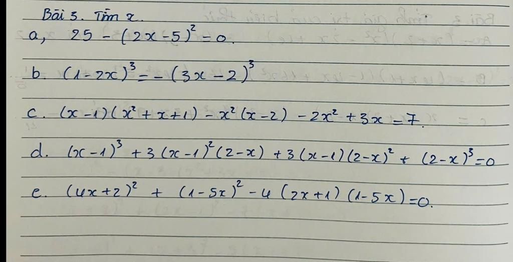
Đáp án + Giải thích các bước giải:
a) $25 - (2x - 5)^2 = 0$
$\Leftrightarrow 5^2 - (2x - 5)^2 = 0$
$\Leftrightarrow [5 + (2x - 5)][5 - (2x - 5)] = 0$
$\Leftrightarrow (2x + 5 - 5)(5 - 2x + 5) = 0$
$\Leftrightarrow 2x(10 - 2x) = 0$
$\Leftrightarrow$ \(\left[ \begin{array}{l}2x=0\\10-2x=0\end{array} \right.\)
$\Leftrightarrow$ \(\left[ \begin{array}{l}x=0\\x=5\end{array} \right.\)
Vậy $x = 0$ hoặc $x = 5$
b) $(1 - 2x)^3 = -(3x - 2)^3$
$\Leftrightarrow (1 - 2x)^3 = [-(3x - 2)]^3$
$\Leftrightarrow (1 - 2x)^3 = (2 - 3x)^3$
$\Leftrightarrow 1 - 2x = 2 - 3x$
$\Leftrightarrow 3x - 2x = 2 - 1$
$\Leftrightarrow x = 1$
Vậy $x = 1$
c) $(x - 1)(x^2 + x + 1) - x^2(x - 2) - 2x^2 + 3x = 7$
$\Leftrightarrow x^3 - 1 - (x^3 - 2x^2) - 2x^2 + 3x - 7 = 0$
$\Leftrightarrow x^3 - 1 - x^3 + 2x^2 - 2x^2 + 3x - 7= 0$
$\Leftrightarrow 3x - 8 = 0$
$\Leftrightarrow x = \dfrac{8}{3}$
Vậy $x = \dfrac{8}{3}$
d) $(x - 1)^3 + 3(x - 1)^2(2 - x) + 3(x - 1)(2 - x)^2 + (2 - x)^3 = 0$
$\Leftrightarrow [(x - 1) + (2 - x)]^3 = 0$
$\Leftrightarrow (x - 1 + 2 - x)^3 = 0$
$\Leftrightarrow 1^3 = 0($vô lý$)$
Vậy không có $x$ thoả mãn
e) $(4x + 2)^2 + (1 - 5x)^2 - 4(2x + 1)(1 - 5x) = 0$
$\Leftrightarrow (4x + 2)^2 + (1 - 5x)^2 - 2 \cdot 2(2x + 1)(1 - 5x) = 0$
$\Leftrightarrow (4x + 2)^2 + (1 - 5x)^2 - 2(4x + 2)(1 - 5x) = 0$
$\Leftrightarrow [(4x + 2) - (1 - 5x)]^2 = 0$
$\Leftrightarrow (4x + 2 - 1 + 5x)^2 = 0$
$\Leftrightarrow (9x + 1)^2 = 0$
$\Leftrightarrow 9x + 1 =0$
$\Leftrightarrow x = -\dfrac{1}{9}$
Vậy $x = -\dfrac{1}{9}$
Hãy giúp mọi người biết câu trả lời này thế nào?

Bảng tin