

giải hộ tôi bài này bới chi tiết nha
Hãy luôn nhớ cảm ơn và vote 5*
nếu câu trả lời hữu ích nhé!
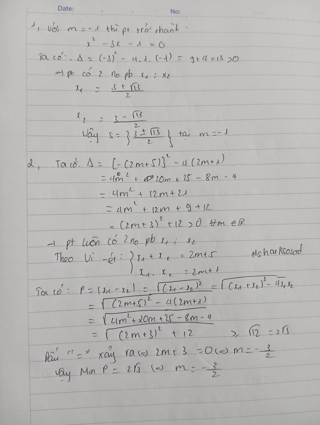
a,
Thay `m=-1` vào pt đc:
`x^2-3x-1=0`
`x=(3-sqrt(13))/2`
hoặc: `x=(3+sqrt(13))/2`
b,
Để pt có 2 nghiệm phân biệt `x_1;x_2`thì:
`\Delta =(2m+5)^2-4(2m+1)=4m^2+12m+21>0`(luôn đúng)
Theo định lí Viet có:
`x_1+x_2=2m+5`
`x_1*x_2=2m+1`
`->(x_1-x_2)^2=(2m+5)^2-4(2m+1)=4m^2+12m+21`
`->|x_1-x_2|=sqrt(4m^2+12m+21)=sqrt(4m^2+12m+9+12)=sqrt((2m+3)^2+12)>=sqrt(12)`
Dấu bằng xảy ra khi: `m=-2/3`
`
Hãy giúp mọi người biết câu trả lời này thế nào?
Bảng tin