Vui lòng chỉ chọn một câu hỏi
Hoidap247.com Nhanh chóng, chính xác
+
Danh mục mới
0
4
mng giúp em với ạ ( em cần gấp)
Hãy luôn nhớ cảm ơn và vote 5* nếu câu trả lời hữu ích nhé!
1770
13676
1555
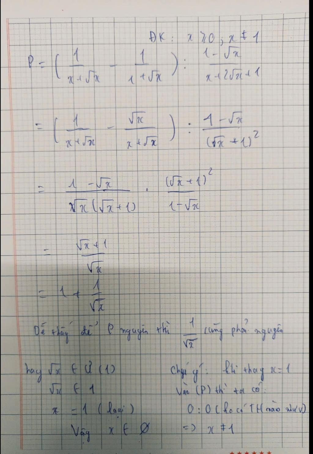
Đáp án:
Giải thích các bước giải:
Hãy giúp mọi người biết câu trả lời này thế nào?
e c.ơn
vâng
62
1074
36
ĐIỀU KIỆN của căn là phải lớn hơn hoặc bằng không sao x=-1 được ạ
mình có ghi x = -1 đâu =))
mình ghi x = `1` mà
khúc cuối bạn ghi x thuộc +- 1 hay sao mà =0
dấu `=` của mình, mình thấy chả giống thuộc gì cả :))
lỗi mình ạ mình chưa nhìn trang kia :D SORRY Ạ
Xem thêm:
Đáp án:Bạn xem có đúng không ạ
Bảng tin
Gửi yêu cầu Hủy
0
4
0
e c.ơn
1770
13676
1555
vâng
62
1074
36
ĐIỀU KIỆN của căn là phải lớn hơn hoặc bằng không sao x=-1 được ạ
1770
13676
1555
mình có ghi x = -1 đâu =))
1770
13676
1555
mình ghi x = `1` mà
62
1074
36
khúc cuối bạn ghi x thuộc +- 1 hay sao mà =0
1770
13676
1555
dấu `=` của mình, mình thấy chả giống thuộc gì cả :))
62
1074
36
lỗi mình ạ mình chưa nhìn trang kia :D SORRY Ạ