

Hãy luôn nhớ cảm ơn và vote 5*
nếu câu trả lời hữu ích nhé!
Đáp án+Giải thích các bước giải:
$(*)$ Ta xét phương trình:
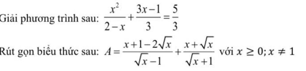
`\frac{x^{2}}{2-x}+\frac{3x-1}{3}=5/3`
`(đk:x\ne2)`
`\frac{x^{2}}{2-x}=\frac{5}{3}-\frac{3x-1}{3}`
`\frac{x^{2}}{2-x}=\frac{5-3x+1}{3}`
`\frac{x^{2}}{2-x}=\frac{-3x+6}{3}`
`(2-x).(-3x+6)=3x^{2}`
`(x-2).(3x-6)=3x^{2}`
`3.(x-2).(x-2)=3x^{2}`
`3.(x^{2}-2x-2x+4)=3x^{2}`
`3.(x^{2}-4x+4)=3x^{2}`
`3x^{2}-3.(-4x+4)-3x^{2}=0`
`-3.(-4x+4)=0`
`-4x+4=0`
`-4x=-4`
`x=1(tmđk)`
Vậy `S={1}`
$(*)$ Rút gọn biểu thức `A:`
`A=\frac{x+1-2\sqrt{x}}{\sqrt{x}+1}+\frac{x+\sqrt{x}}{\sqrt{x}+1}` `(đk:x\ge0;x\ne1)`
`=\frac{(\sqrt{x})^{2}-2.\sqrt{x}.1+1^{2}}{\sqrt{x}-1}+\frac{(\sqrt{x})^{2}+\sqrt{x}}{\sqrt{x}+1}`
`=\frac{(\sqrt{x}-1)^{2}}{\sqrt{x}-1}+\frac{\sqrt{x}.(\sqrt{x}+1)}{\sqrt{x}+1}`
`=\sqrt{x}-1+\sqrt{x}`
`=2\sqrt{x}-1`
Vậy `A=2\sqrt{x}-1` với `x\ge0;x\ne1`
Hãy giúp mọi người biết câu trả lời này thế nào?
Bảng tin