

Cho pt x^2 - 5x + 3 = 0 có 2 nghiệm x1,x2.Không giải pt,tính giá trị biểu thức
giúp tui với
Hãy luôn nhớ cảm ơn và vote 5*
nếu câu trả lời hữu ích nhé!
Vì phương trình có 2 nghiệm `x_1;x_2` nên theo định lí viete ta có: `{(x_1+x_2=5),(x_1x_2=3):}`
Đặt biểu thức là A
Ta có:
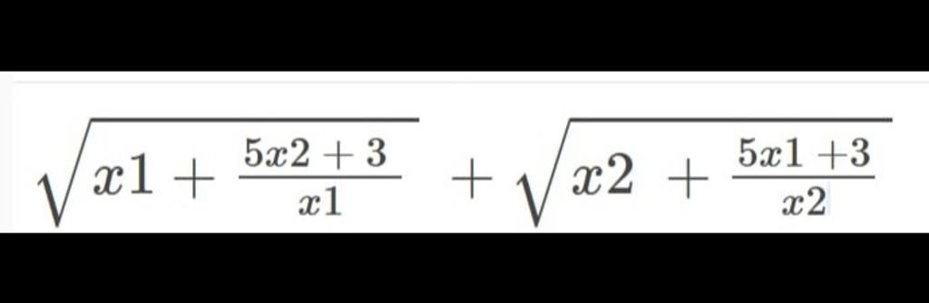
`A=\sqrt{x_1+(5x_2+3)/(x_1)}+\sqrt{x_2+(5x_1+3)/(x_2)}`
`=\sqrt{(x_1^2+5x_2+3)/x_1}+\sqrt{(x_2^2+5x_1+3)/x_2}`
Vì `x_1;x_2` là nghiệm của Pt nên `{(x_1^2=5x_1-3),(x_2^2=5x_2-3):}`
Thay vào A ta được
`A=\sqrt{(5x_1-3+5x_2+3)/x_1}+\sqrt{(5x_2-3+5x_1+3)/x_2}`
`=\sqrt{(5(x_1+x_2))/x_1}+\sqrt{(5(x_1+x_2))/x_2}`
`=\sqrt{(5*5)/x_1}+\sqrt{(5*5)/x_2}`
`=\sqrt{25/x_1}+\sqrt{25/x_2}`
`=5/\sqrt{x_1}+5/\sqrt{x_2}`
`A^2=25/x_1+2*25/\sqrt{x_1x_2}+25/x_2`
`=(25(x_1+x_2))/(x_1x_2)+2*25\sqrt{25}`
`=(25*5)/3+2*25/5`
`=155/3`
`A=\sqrt{155/3}` `(A>0)`
Hãy giúp mọi người biết câu trả lời này thế nào?

Bảng tin
0
203
0
từ biểu thức ở dấu = thứ 3 sang biểu thức của dấu = thứ 4 là sao vậy ạ?biến đổi như thế mình chưa hiểu lắm
5937
94552
3866
Hằng đẳng thức đó bn: `x^2 +2xy+y^2=(x+y)^2`