

Hãy luôn nhớ cảm ơn và vote 5*
nếu câu trả lời hữu ích nhé!
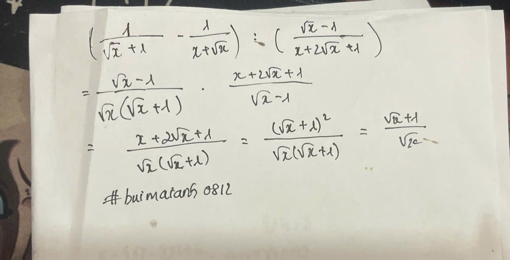
Đáp án +Giải thích các bước giải:
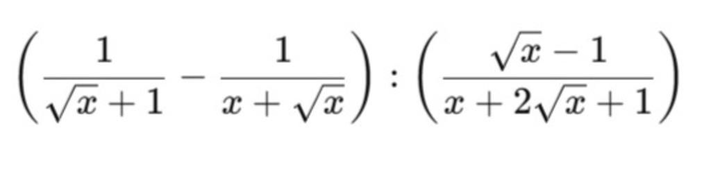
ĐK: x>0, x$\neq$ 1
(Lời giải trong ảnh)
Đơn giản+ dễ hiểu!! Bạn tham khảo nhee
`color{#367517}{text{#bu}color{#50a625}{text{imai}color{#5bbd2b}{text{anh}color{#83c75d}{text{0}color{#afd788}{text{81}color{#c8e2b1}{text{2}`
Hãy giúp mọi người biết câu trả lời này thế nào?
`(1/(sqrtx+1)-1/(x+sqrtx)) : (sqrtx-1)/(x+2sqrtx+1)` ` (x ne 1 ; x >0)`
`=(sqrtx-1)/(sqrtx(sqrtx+1)) * ((sqrtx+1)^2)/(sqrtx-1)`
`=(sqrtx+1)/sqrtx`
Hãy giúp mọi người biết câu trả lời này thế nào?
Bảng tin