

Hãy luôn nhớ cảm ơn và vote 5*
nếu câu trả lời hữu ích nhé!
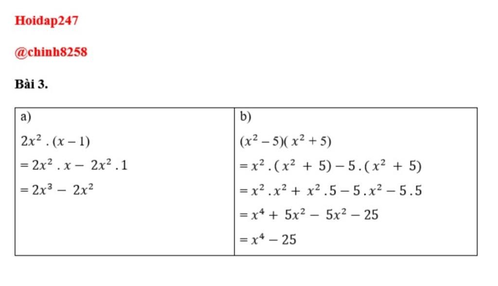
`a) 2x^2 (x - 1)`
`= 2x^2 . x - 2x^2 . 1`
`= 2x^3 - 2x^2`
`b) (x^2 - 5)(x^2 + 5)`
`= x^2 . x^2 + x^2 . 5 - 5 . x^2 - 5 . 5`
`= x^4 + 5x^2 - 5x^2 - 25`
`= x^4 - 25`
Bài `4`
`n(\Omega) = 12`
`a)` Số kết quả thuận lợi của biến cố `A` là:
`6, 8, 10, 12`
`-> n(A) = 4`
`-> P(A) = 4/12 = 1/3`
`b)` Số kết quả thuận lợi của biến cố `B` là:
`1, 3, 5, 7, 9, 11`
`-> n(B) = 6`
`-> P(B) = 6/12 = 1/2`
`c)` Số kết quả thuận lợi của biến cố `C` là:
`1; 2; 4; 5; 7; 8; 10; 11`
`-> n(C) = 8`
`-> P(C) = 8/12 = 3/4`
Bài `5`
`n(\Omega) = 99 - 10 + 1 = 90`
`a)` Số kết quả thuận lới của biến cố `A` là:
`4^2 = 16 ; 5^2 = 25 ; 6^2 = 36 ; 7^2 = 49 ; 8^2 = 64 ; 9^2 = 81`
`-> n(A) = 6`
`-> P(A) = 6/90 = 1/15`
`b)` Số kết quả thuận lới của biến cố `B` là:
`15; 30; 45; 60; 75; 90`
`-> n(B) = 6`
`-> P(B) = 6/90 = 1/15`
Hãy giúp mọi người biết câu trả lời này thế nào?
Bảng tin