Vui lòng chỉ chọn một câu hỏi
Hoidap247.com Nhanh chóng, chính xác
+
Danh mục mới
0
884
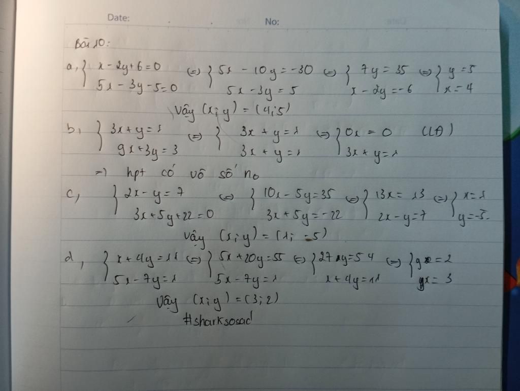
Các bạn giúp mình nhanh vs ạ ( trình bày theo kiểu ngoặc ngoặc và đáp án chính xác ạ)
Hãy luôn nhớ cảm ơn và vote 5* nếu câu trả lời hữu ích nhé!
5937
94562
3866
Đáp án:
Giải thích các bước giải:
Hãy giúp mọi người biết câu trả lời này thế nào?
Xem thêm:
8644
111625
5938
Bảng tin
Gửi yêu cầu Hủy