

Xét tính đúng sai. Giúp em với ạ
Hãy luôn nhớ cảm ơn và vote 5*
nếu câu trả lời hữu ích nhé!
Đây là câu trả lời đã được xác thực
Câu trả lời được xác thực chứa thông tin chính xác và đáng tin cậy, được xác nhận hoặc trả lời bởi các chuyên gia, giáo viên hàng đầu của chúng tôi.
Đáp án:
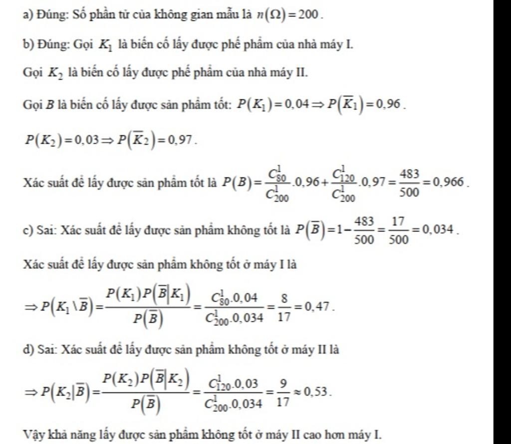
`a)` Đúng
`b)` Đúng
`c)` Sai
`d)` Đúng
Giải thích các bước giải:
Gọi biến cố `A:` "Sản phẩm của nhà máy số `bbI`"
`=>` Biến cố `\overline{B}:` "Sản phẩm của nhà máy số `bbIbbI`
Gọi biến cố `B:` "Sản phẩm là phế phẩm"
`=>` Biến cố `\overline{B}:` "Sản phẩm là sản phẩm tốt"
`to` Có `80` sản phẩm là của nhà máy số `bbI` nên: `P(A) = 80/200 = 0,4`
`to` Có `120` sản phẩm là của nhà máy số `bbIbbI` nên: `P(B) = 120/200 = 0,6`
Vẽ sơ đồ cây (Hình ảnh)
`a)`
Số phần tử của không gian mẫu là: `80+120 = 200`
`=>` Đúng
`b)`
`@` Áp dụng công thức xác suất toàn phần:
`to` Xác suất lấy được sản phẩm tốt là:
`P(\overline{B}) = P(A). P(\overline{B}|A)+P(\overline{A}). P(\overline{B}|\overline{A})`
`= 0,4. 0,96+0,6. 0,97 = 483/500`
`=>` Đúng
`c)`
`@` Áp dụng công thức xác suất toàn phần:
`to` Xác suất sản phẩm là phế phẩm là:
`P(B) = P(A). P(B|A)+P(\overline{A}). P(B|\overline{A})`
`= 0,4. 0,04+0,6. 0,03 = 0,034`
`@` Áp dụng công thức Bayes:
`to` Xác suất sản phẩm là phế phẩm ở loại `bbI` là:
`P(A|B) = (P(A). P(B|A))/(P(B)) = (0,4. 0,04)/(0,034)`
`= 8/17`
`=>` Sai
`d)`
Vì tỷ lệ phế phẩm của nhà máy `bbI` là `0,04 > 0,03` tỷ lệ phế phẩm của nhà máy `bbIbbI` nên khả năng lấy được sản phẩm là phế phẩm của máy `bbIbbI` là thấp hơn máy `bbI`
`=>` Đúng
Hãy giúp mọi người biết câu trả lời này thế nào?
Bảng tin