Đăng nhập để hỏi chi tiết


Hãy luôn nhớ cảm ơn và vote 5*
nếu câu trả lời hữu ích nhé!
Đáp án `+` Giải thích các bước giải:
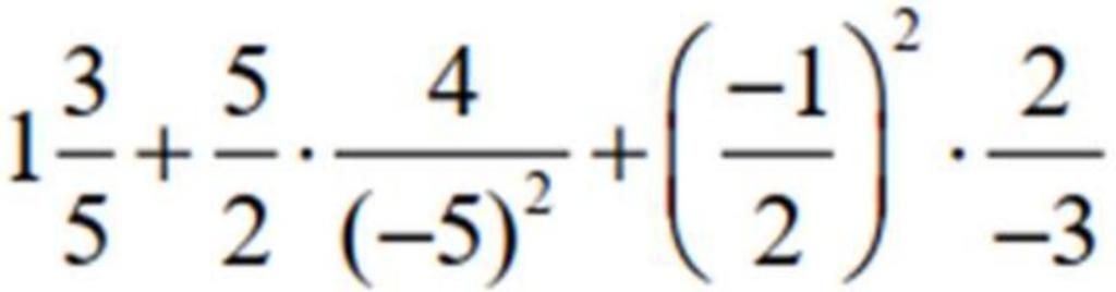
`1 3/5 + 5/2 . 4/((-5)^2) + (-1/2)^2 . 2/(-3)`
`= 8/5 + 2/5 + 1/4 . (-2)/3`
`= 10/5 + 1/2 . (-1)/3`
`= 2 + (-1)/6`
`= 12/6 + (-1)/6`
`= 11/6.`
Hãy giúp mọi người biết câu trả lời này thế nào?

`1 3/5+5/2. 4/(-5)^2+(-1/2)^2. 2/(-3)`
`= 8/5+5/2. 4/25+1/4. (-2/3)`
`= 8/5+2/5-1/6`
`=2-1/6`
`=11/6`
Hãy giúp mọi người biết câu trả lời này thế nào?

Bảng tin
88
52
288
chăm dữ