

Làm giúp mình nha :3
Hãy luôn nhớ cảm ơn và vote 5*
nếu câu trả lời hữu ích nhé!
`color{#528B8B}{#A} color{#79CDCD}{n} color{#8DEEEE}{a} color{#97FFFF}{x} color{#BBFFFF}{a} color{#AFEEEE}{~}`
Đáp án `+` Giải thích các bước giải:
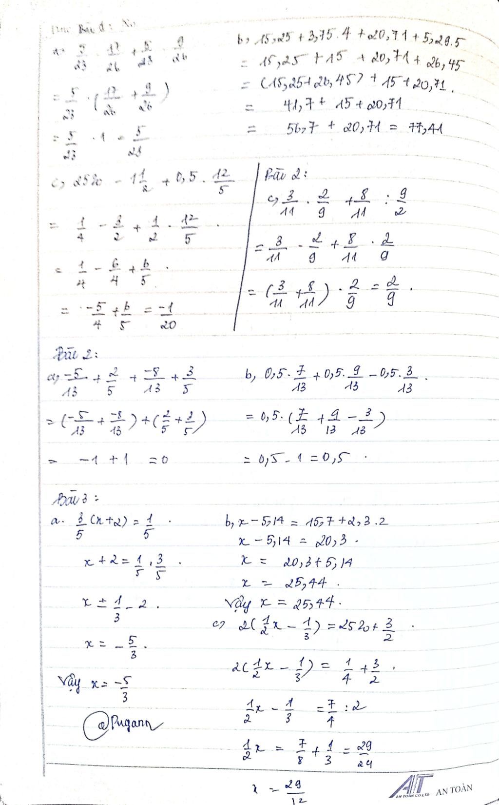
Bài 1:
`a) 5/23 . 17/26 + 5/23 . 9/26`
`= 5/23 (17/26 + 9/26)`
`= 5/23 . 1`
`= 5/23`
`b) 15,25+3,75.4+ 20,71+5,29.5 `
`= 61/4 + 15/4 . 4 + 2071/100 + 529/100 . 5`
`= 61/4 + 15 + 2071/100 + 529/20`
`= 1525/100 + 1500/100 + 2071/100 + 2645/100`
`= (1525 + 1500 + 2071 + 2645)/100`
`= 7741/100`
`c) 25% - 1 1/2 + 0,2 . 12/5`
`= 1/4 - 3/2 + 1/5 . 12/5`
`= 1/4 - 6/4 + 12/25`
`= -5/4 + 12/25`
`=-125/100 + 48/100`
`= -77/100`
``
Bài 2:
`a) -5/13 + 2/5 + (-8/13) + 3/5`
`= (-5/13 - 8/13) + (2/5 + 3/5)`
`= -1 + 1`
`= 0`
`b) 0,5 . 7/13 + 0,5 . 9/13 - 0,5 . 3/13`
`= 1/2 . 7/13 + 1/2 . 9/13 - 1/2 . 3/13`
`= 1/2 (7/13 + 9/13 - 3/13)`
`= 1/2 . 1`
`= 1/2`
`c) 3/11 . 2/9 + 8/11: 9/2`
`= 3/11 . 2/9 + 8/11 . 2/9`
`= 2/9 (3/11 + 8/11)`
`= 2/9 . 1`
`= 2/9`
Hãy giúp mọi người biết câu trả lời này thế nào?
Bảng tin