

giúp với ạ cho hay nhất ạa
Hãy luôn nhớ cảm ơn và vote 5*
nếu câu trả lời hữu ích nhé!
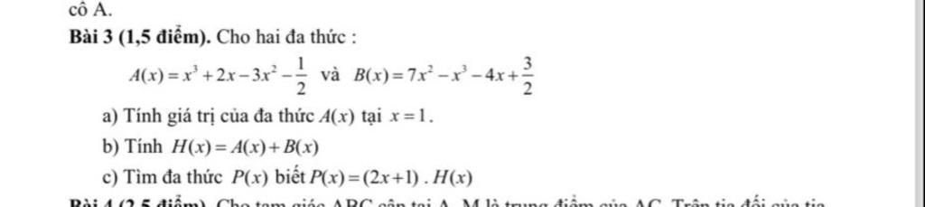
`a)`
Thay `x = 1` vô đa thức A(x) ta được:
`A(1) = 1^3 + 2×1 - 3×1^2 - 1/2`
`A(1) = 1 + 2 - 3 - 1/2`
`A(1) = 0 - 1/2`
`A(1) = -1/2`
Vậy khi `x=1` thì đa thức `A(x)=-1/2`
`b)`
`H(x) = A(x) + B(x)`
`H(x) = (x^3 - x^3) + (-3x^2 + 7x^2) + (2x - 4x) + (-1/2 + 3/2)`
`H(x) = 0 + 4x^2 - 2x + 1`
`H(x) = 4x^2 - 2x + 1`
Vậy `H(x) = 4x^2 - 2x + 1`
`c)`
`P(x) = (2x + 1) . (4x^2 - 2x + 1)`
`P(x) = 2x(4x^2 - 2x + 1) + 1(4x^2 - 2x + 1)`
`P(x) = 8x^3 - 4x^2 + 2x + 4x^2 - 2x + 1`
`P(x) = 8x^3 + 0x^2 + 0x + 1`
`P(x) = 8x^3 + 1`
Vậy `P(x) = 8x^3 + 1.`
~~Chúc bạn học tốt ạa~~
Hãy giúp mọi người biết câu trả lời này thế nào?
![]()
Bảng tin
585
6230
875
Bé
1065
15485
2256
dạ
585
6230
875
Thứ 6 bé có ở nhà ko
585
6230
875
Sáng t6 a mạng đth đi hc nên nt á oki ko ạ
585
6230
875
Thứ 6
585
6230
875
Lúc đó bé có nhà ko ạ
1065
15485
2256
dạ ko ạa
585
6230
875
Dạ vk