

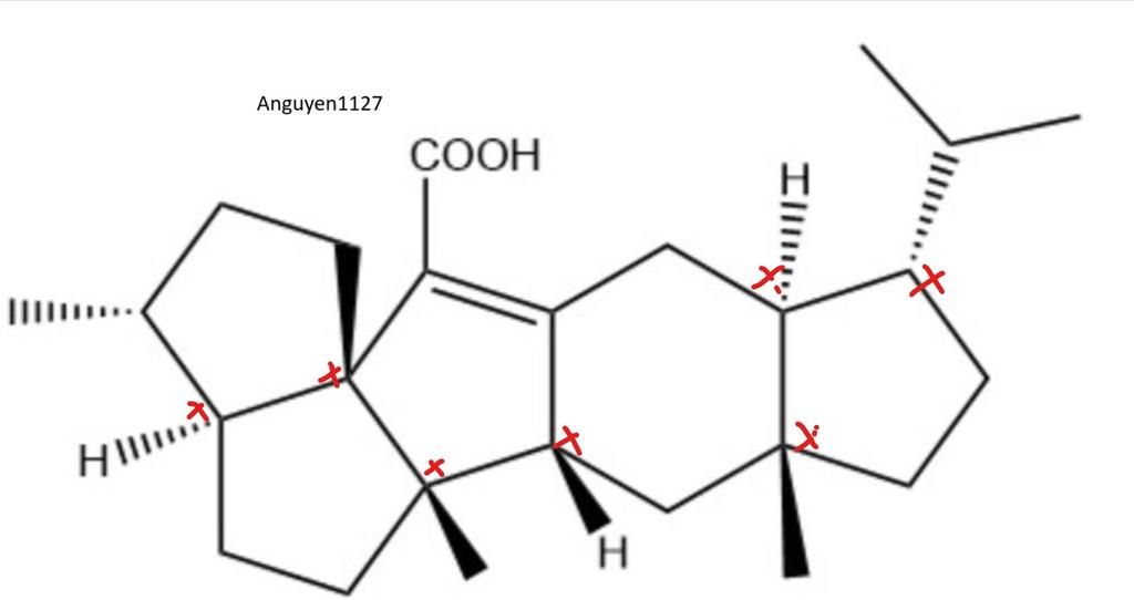
xác định cacbon bất đối và có bao nhiêu đồng phân cấu hình trong công thức
Hãy luôn nhớ cảm ơn và vote 5*
nếu câu trả lời hữu ích nhé!
Có 7 trung tâm C bất đối nên số đồng phân cấu hình là `2^7 = 128` đồng phân
Hãy giúp mọi người biết câu trả lời này thế nào?
`\color{pink}{#Bơ}`
Có 7 trung tâm C bất đối nên số đồng phân là `2^7 = 128` đồng phân
`\color{#1AD5F7}{⋆⟡D}\color{#1AD5F7}{r}\color{#4DA6E6}{a}\color{#668EDD}{g}\color{#8077D5}{o}\color{#995FCD}{n}\color{#EA2F90}{⟡⋆}`
Hãy giúp mọi người biết câu trả lời này thế nào?

Bảng tin
17
568
24
k cần biết cx duoc
6903
93651
4223
Nói coi xem nào, cũng là mod à
17
568
24
hihi khong biet
6903
93651
4223
Hân?
23
485
14
Chỗ nét đứt em chưa đánh dấu ý
23
485
14
Chỗ đó nối với `CH_3` á em
23
485
14
Nếu ko phải C bất đối thì ko có nét đứt :)
23
485
14
Ý anh là cis-trans :v? Hay chỗ nét đứt nối ra ngoài, em nghĩ cái đó là nguyên tử H `->` ko biết đồng phân cấu hình có tính đồng phân EZ ko em nhỉ ?