

biết có đạo hàm tạo x=0 vậy tại sao chỉ được điền đúng 1 dấu bằng tại một trong hai đạo hàm là 2x khi x<0 hoặc 0 khi x>0 vậy ạ mà không điền được cả hai đạo hàm ạ
Hãy luôn nhớ cảm ơn và vote 5*
nếu câu trả lời hữu ích nhé!
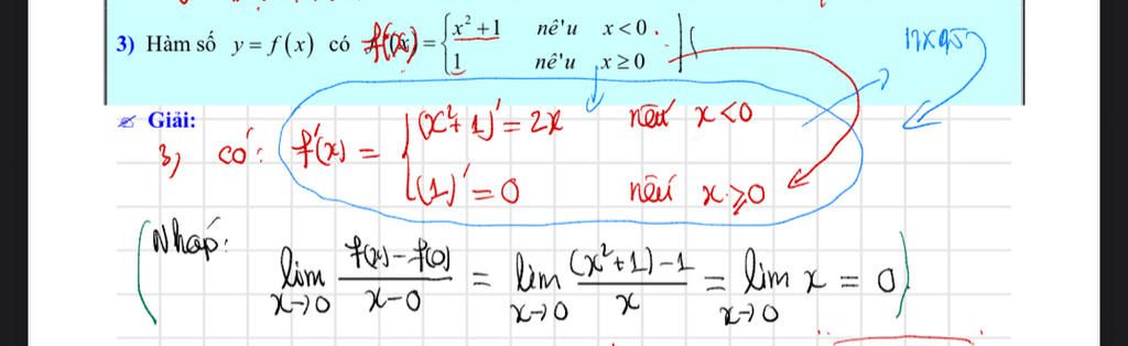
Khi `x=0` thì `f'(x)=1'=0` nên không thể thay `x=0` vào `f'(x)=x^2+1=2x` được
Tại `x<0=>f(x)=x^2+1`
`=>f'(x)=2x` (cái này đúng khi `x<0`)
Tại `x≥0=>f(x)=1`
`=>f'(x)=0` (cái này đúng khi `x≥0`)
`=>f'(x)=(x^2+1)'=2x` nếu `x<0` (không thể thay `0` vào đây được vì `x<0`)
`f'(x)=1'=0` nếu `x≥0` (có thể thay `0` vào đây vì `x≥0`)
`- \text(Lamtoanbangcatinhmang) -`
Hãy giúp mọi người biết câu trả lời này thế nào?
Bảng tin
4
83
3
? jv
382
148
232
Sao vậy bạn
4
83
3
ý là mình đạo hàm trái và phải đều bằng nhau nên đạo hàm xác định tại điểm x=0
4
83
3
bây giờ điền dấu để xét đơn điệu thì mình thấy thầy nói chỉ được điền một dấu bằng
4
83
3
vd:2x nếu x<0 và 0 nếu x>=0 hoặc ngược lại
4
83
3
nhưng mình thấy :2x nếu <=0 và 0 nếu x>=0 cx hợp lí vì thay x=0 vào cả hai đều cho ra 1 kq nà thầy nói cách viết này sai là sao nhỉ
382
148
232
ý là mình đạo hàm trái và phải đều bằng nhau nên đạo hàm xác định tại điểm x=0 `→` đạo hàm trái phải bằng nhau hồi nào bạn
382
148
232
nhưng mình thấy :2x nếu <=0 và 0 nếu x>=0 cx hợp lí vì thay x=0 vào cả hai đều cho ra 1 kq nà thầy nói cách viết này sai là sao nhỉ `→` cái hàm `2x` đó xảy ra khi `x<0` thôi bạn, bạn điền `x=0` vô thì sai là đúng rồi