Vui lòng chỉ chọn một câu hỏi
Hoidap247.com Nhanh chóng, chính xác
+
Danh mục mới
1
796
2
......................
Hãy luôn nhớ cảm ơn và vote 5* nếu câu trả lời hữu ích nhé!
30
890
14
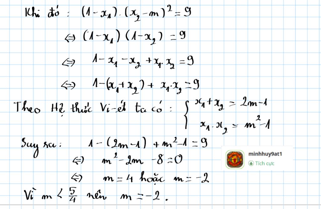
Đáp án: $m=-2$
Hãy giúp mọi người biết câu trả lời này thế nào?
Xem thêm:
1900
36750
838
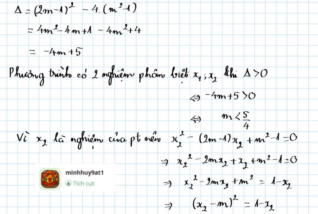
Đáp án:
Giải thích các bước giải:
Bảng tin
Gửi yêu cầu Hủy