

Hãy luôn nhớ cảm ơn và vote 5*
nếu câu trả lời hữu ích nhé!
Đáp án `+` Giải thích các bước giải:
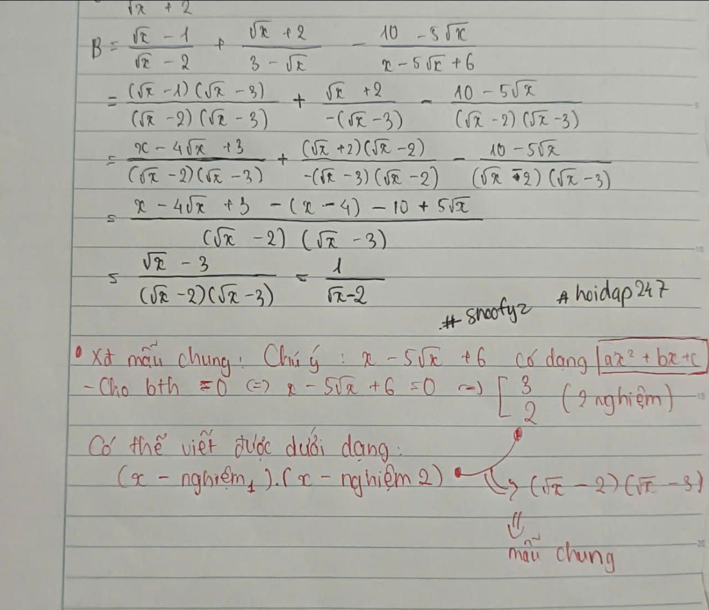
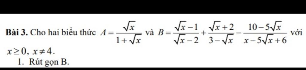
`1. B = (sqrt(x)-1)/(sqrt(x)-2) + (sqrt(x)+2)/(3-sqrt(x)) - (10 - 5sqrt(x))/(x - 5sqrt(x)+6)`
`ĐKXĐ: x ≥ 0 , x` $\neq$ `4`
`-> B = (sqrt(x)-1)/(sqrt(x)-2) - (sqrt(x)+2)/(sqrt(x)-3) - (10-5sqrt(x))/(x - 5sqrt(x)+6)`
`-> B = ((sqrt(x)-1)(sqrt(x)-3) - (sqrt(x)+2)(sqrt(x)-2) - (10 - 5sqrt(x)))/((sqrt(x)-2)(sqrt(x)-3))`
`-> B = (x - 4sqrt(x) + 3 - (x - 4) - 10 + 5sqrt(x))/((sqrt(x)-2)(sqrt(x)-3))`
`-> B = (x - 4sqrt(x) + 3 - x + 4 - 10 + 5sqrt(x))/((sqrt(x)-2)(sqrt(x)-3))`
`-> B = (sqrt(x) - 3)/((sqrt(x)-2)(sqrt(x)-3))`
`-> B = 1/(sqrt(x)-2)`
Vậy `B = 1/(sqrt(x)-2)` với `x ≥ 0 , x` $\neq$ `4`
Hãy giúp mọi người biết câu trả lời này thế nào?

Bảng tin
13
725
5
mình ghi căn x-2 vẫn đc đúng ko bạn
717
831
894
bn ns như nào tui ko hỉu lắm :?
717
831
894
`sqrt(x) - 2` hả :?
13
725
5
ý là mình rút gọn ra kết quả là cănx-2 vẫn đc đúng ko ạ, mình bỏ số 1 ở tử đi á
13
725
5
đr bạn
717
831
894
ko nha bạn , cái đó là phân số nên không để bỏ tử đc á
13
725
5
ok bạn, mình bị nhầm sang phép nhân. Cảm ơn nha!
717
831
894
kcj =)