

Hãy luôn nhớ cảm ơn và vote 5*
nếu câu trả lời hữu ích nhé!
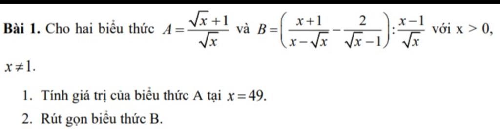
Đáp án `+` Giải thích các bước giải:
Bài `1 :`
`1,` Thay `x = 49` vào biểu thức `A` , ta được:
`A = (sqrt(49) + 1)/(sqrt(49)) = (7 + 1)/7 = 8/7`
Vậy `A = 8/7` tại `x = 49`
`2, B = ((x + 1)/(x - sqrt(x)) - 2/(sqrt(x) - 1)) : (x - 1)/(sqrt(x)) (x > 0 , x` $\neq$ `1)`
`-> B = ((x + 1)/(sqrt(x)(sqrt(x)-1)) - (2 . sqrt(x))/(sqrt(x)(sqrt(x)-1))) . (sqrt(x))/(x - 1)`
`-> B = (x + 1 - 2sqrt(x))/(sqrt(x)(sqrt(x)-1)) . (sqrt(x))/(x - 1)`
`-> B = ((sqrt(x)-1)^2)/(sqrt(x) - 1) . 1/(x - 1)`
`-> B = (sqrt(x) - 1) . 1/(x - 1)`
`-> B = (sqrt(x) - 1)/((sqrt(x)-1)(sqrt(x)+1))`
`-> B = 1/(sqrt(x)+1)`
Vậy `B = 1/(sqrt(x)+1)` với `x > 0 , x` $\neq$ `1`
Hãy giúp mọi người biết câu trả lời này thế nào?

Bảng tin
13
725
5
vì bạn sắp thi giống mình
13
725
5
mình biết mà
540
5581
812
Sao bt zậy
13
725
5
haha cố lên ng ae
540
5581
812
Oki
540
5581
812
Tam Phú
540
5581
812
Yes
716
821
892
=)