Tham Gia Group Dành Cho Lớp 9 - Ôn Thi Vào Lớp 10 Miễn Phí
Bài 1. (2,0 điểm)
DE 2
1) Tính giá trị của biểu thức 4= V20 +2V80 – 3 V45
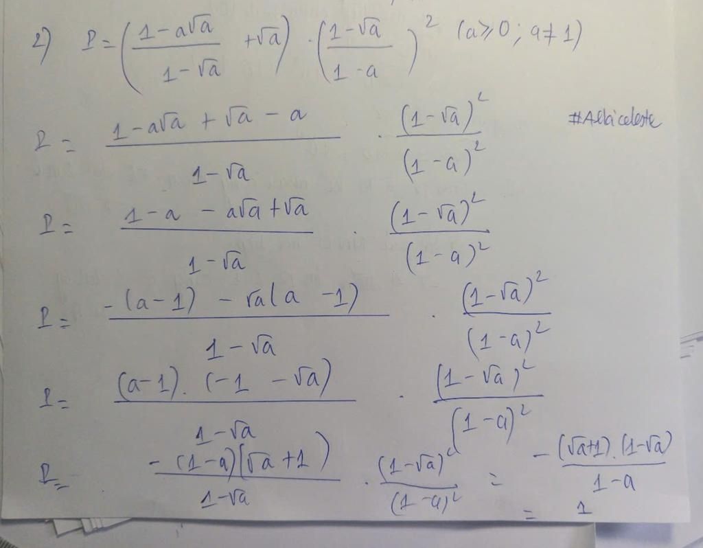
2) Rút gọn biểu thức P=
1-a√a
+√a
với a >0;a=1
1-a
3) Cho Parabol (P):y=x
và (d) bằng phép tính.
i 2. (2,5 điểm)
1) Cho phương trình
1-√√a
và đường thẳng (d): y=3x− 2 . Tìm tọa độ g
x^+2(m+1)x+m−6=0 (m là tham số ...