Vui lòng chỉ chọn một câu hỏi
Hoidap247.com Nhanh chóng, chính xác
+
Danh mục mới
0
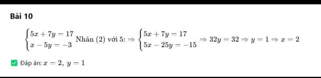
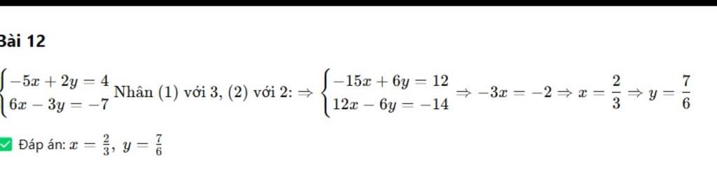
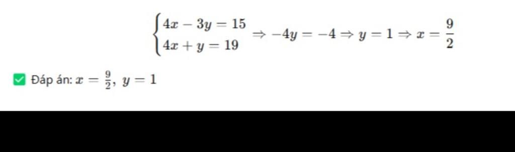
Giải các hệ phương trình bằng phương pháp cộng đại số(làm câu 3,8,9,10,12-21)
Hãy luôn nhớ cảm ơn và vote 5* nếu câu trả lời hữu ích nhé!
1
75
Đáp án:+Giải thích các bước giải: MÌNH KHÔNG BT LM CÂU 21 NÊN BN THÔNG CẢM NHA NHƯNG CŨNG MONG CTLHN
Hãy giúp mọi người biết câu trả lời này thế nào?
Xem thêm:
Xem thêm
Bảng tin
Gửi yêu cầu Hủy