

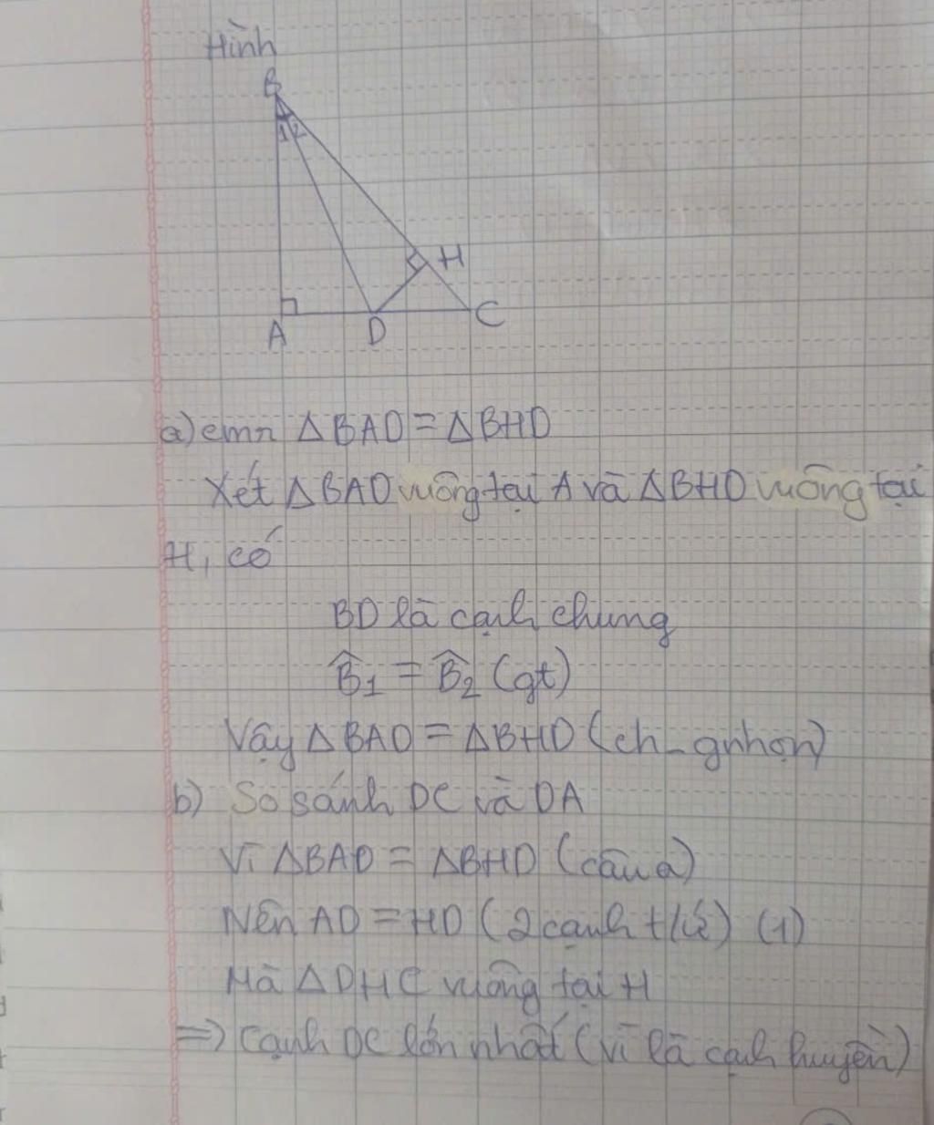
tam giác ABC vg tại A , từ B kẻ phân giác BD cắt AC tại D , kẻ DH vg góc BC tại H
a) cmr tam giác BAD = tam giác BHD
b) so sánh DC và DA
Hãy luôn nhớ cảm ơn và vote 5*
nếu câu trả lời hữu ích nhé!
Tự vẽ hình nhé bro ><
a) Xét 2Δ vuông BAD và BHD
$\widehat{ABD}$ = $\widehat{HBD}$ ( BD là tia phân giác của $\widehat{ABC}$ )
BD chung
⇒ ΔBAD=ΔBHD ( ch-gnh )
b)
ΔBAD=ΔBHD
⇒ AD=HD ( 2 cạnh tương ứng ) (1)
Mà ΔDHC vg tại H
⇒ cạnh huyền là DC
⇒ DC là cạnh lớn nhất
⇒ DC>DE (2)
Từ (1) và (2) ⇒ DC>DA
GOOD LUCK
xin 5*, cảm ơn và trả lời hay nhất
Hãy giúp mọi người biết câu trả lời này thế nào?
Bảng tin
2
197
2
bạn ơi bạn cho mình được không ạ
576
522
1180
cho cái j bạn
576
522
1180
hình hả bạn
576
522
1180
vậy tí nữa cho mik cái trả lời hay nhất mik gửi hình cho nhé
2
197
2
ocee bạn
576
522
1180
vậy kb face vs mik đi
576
522
1180
Bình Trọng á
2
197
2
ok la