Vui lòng chỉ chọn một câu hỏi
Hoidap247.com Nhanh chóng, chính xác
+
Danh mục mới
0
694
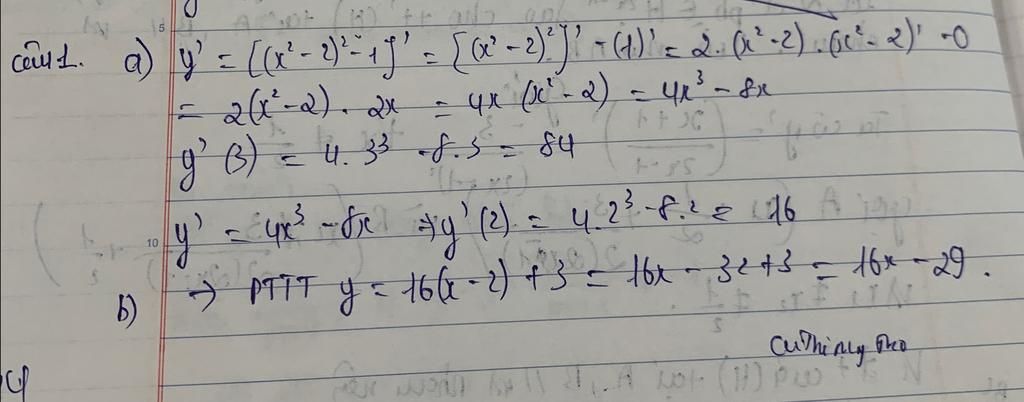
Làm nhanh hộ mk nhaaa, câu 1 ak
Hãy luôn nhớ cảm ơn và vote 5* nếu câu trả lời hữu ích nhé!
2429
40685
927
Đáp án:
Giải thích các bước giải:
Hãy giúp mọi người biết câu trả lời này thế nào?
5009
656
1458
Bảng tin
Gửi yêu cầu Hủy