

Hãy luôn nhớ cảm ơn và vote 5*
nếu câu trả lời hữu ích nhé!
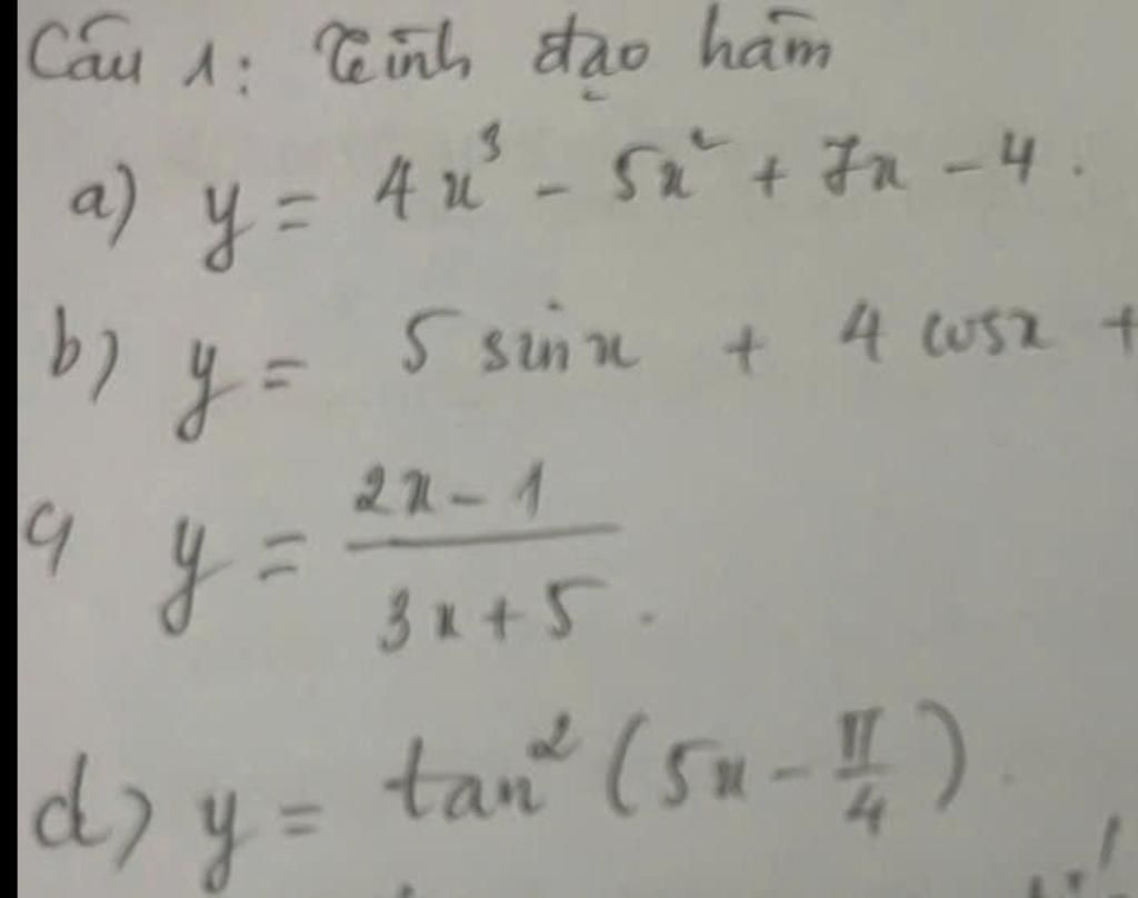
`d) y = tan^2 (5x - pi/4)`
`y' = (5x - pi/4)' . 2tan(5x - pi/4) . 1/(cos^2 (5x - pi/4))`
` = 5 . 2tan(5x - pi/4) . 1/(cos^2 (5x - pi/4))`
` = (10tan(5x - pi/4))/(cos^2 (5x-pi/4))`
Hãy giúp mọi người biết câu trả lời này thế nào?
![]()
Đáp án:
`d) y = tan^2 (5x-π/4) `
`y' = 2.tan(5x-π/4) .[tan(5x-π/4)]'`
`= 2.tan(5x-π/4) .((5x-π/4)')/(cos^2(5x-π/4))`
`= 2.tan(5x-π/4) .5/(cos^2(5x-π/4))`
`= (10tan(5x-π/4))/(cos^2(5x-π/4))`
`= (10sin(5x-π/4))/(cos^3(5x-π/4))`
Hãy giúp mọi người biết câu trả lời này thế nào?
Bảng tin