

Câu 4. Một mảnh đất hình Elip có độ dài trục lớn bằng 120m, độ dài trục bé bằng 90m. Tập đoàn VinGroup dự định xây dựng một trung tâm thương mại Vincom trong một hình chữ nhật nội tiếp của Elip như hình vẽ. Hỏi diện tích xây dựng Vincom lớn nhất có thể là?
B
A'
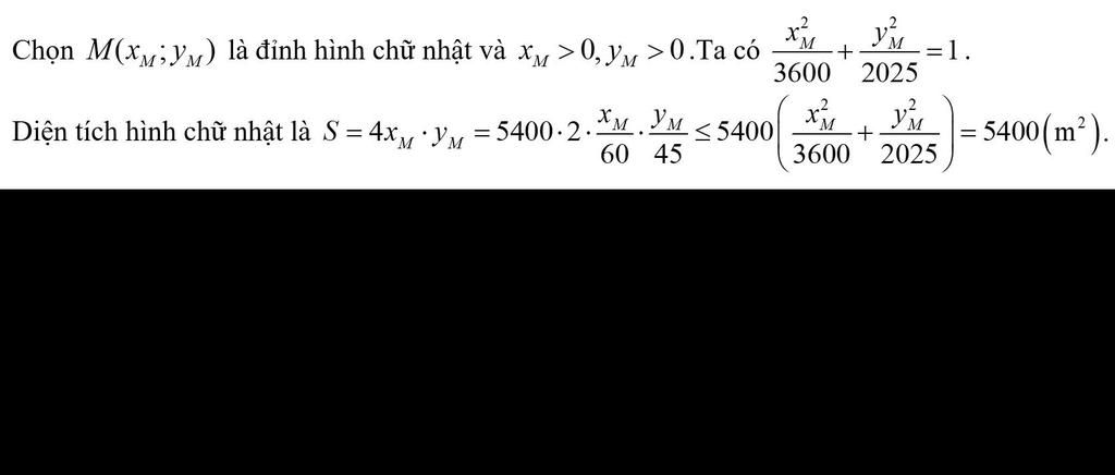
Lời giải: Phương trình chính tắc của (E): (x ^ 2)/(a ^ 2) + (y ^ 2)/(b ^ 2) = 1 .
Ta có 2a = 120 ⇒ a=60, 2b = 90 ⇒ b = 45.
Suy ra (E): (x ^ 2)/3600 + (y ^ 2)/2025 = 1
CHO MÌNH HỎI CÁI SỐ 5400 TRONG ẢNH ĐÃ GIẢI LÀ SAO V Ạ
Hãy luôn nhớ cảm ơn và vote 5*
nếu câu trả lời hữu ích nhé!
`color{#1be01b}{-T}color{#1be01b}{i}color{#1be01b}{t}color{#1be01b}{u}color{#1be01b}{u}color{#1be01b}{u-}color{#1be01c}`
Gọi pt elip của mảnh đất là `(x^2)/(a^2)+(y^2)/(b^2)=1 (a; b>0)`
Độ dài trục lớn bằng `120 m`
`-> 2a=120 -> a=60 (TM)`
Độ dài trục bé bằng `90 m`
`-> 2b=90 -> b=45 (TM)`
`-> (E): (x^2)/(60^2)+(y^2)/(45^2)=1`
Gọi `M(x_M; y_M)` $\in$ `(E)`
`-> (x_M^2)/(60^2)+(y_M^2)/(45^2)=1`
Áp dụng BĐT Cô-si ta có:
`(x_M^2)/(60^2)+(y_M^2)/(45^2)>=2.(x_M)/(60).(y_M)/(45)`
`-> 1>=(1)/(2700).2.x_M.y_M`
`-> 2x_M.y_M<=2700`
`-> S=4x_M.y_M<=2.2700=5400`
`-> S_(Max)=5400 (m^2)`
Hãy giúp mọi người biết câu trả lời này thế nào?
Bảng tin