Vui lòng chỉ chọn một câu hỏi
Hoidap247.com Nhanh chóng, chính xác
+
Danh mục mới
0
167
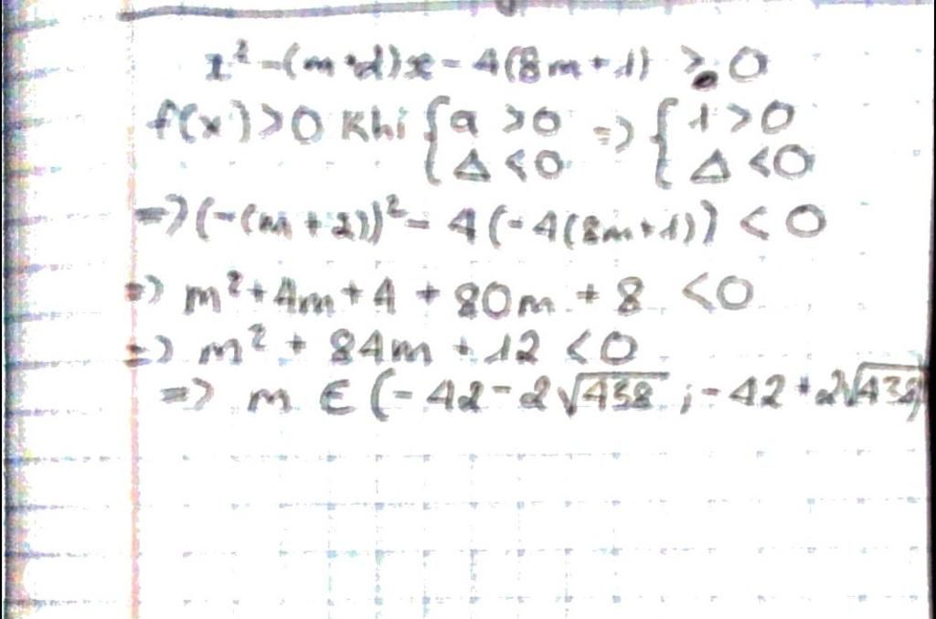
Với giá trị nào của tham số m thì bất phương trình x^2-(m+2)x -4(8m+1) là tam thức bậc hai dương với mọi x thuộc R
Hãy luôn nhớ cảm ơn và vote 5* nếu câu trả lời hữu ích nhé!
302
1358
90
Xin hay nhất
Hãy giúp mọi người biết câu trả lời này thế nào?
6294
88112
2940
xem lại nha b
Đáp án:
Giải thích các bước giải:
Bảng tin
Gửi yêu cầu Hủy
6294
88112
2940
xem lại nha b