

giải hộ mik bài này zớiii aa
Hãy luôn nhớ cảm ơn và vote 5*
nếu câu trả lời hữu ích nhé!
Đáp án: Gửi đáp án ạ `!!!`
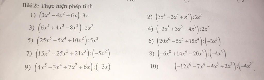
Bài `2`: Thực hiện phép tính:
`1.` `(3x^3-4x^2+6x)` `:` `3x`
`=` `(3x^3:3x)` `-` `(4x^2:3x)` `+` `(6x:3x)`
`=` `x^2` `-` `4/3x` `+` `2`
`2.` `(5x^4-3x^3+x^2)` `:` `3x^2`
`=` `(5x^4:3x^2)` `-` `(3x^3:3x^2)` `+` `(x^2:3x^2)`
`=` `5/3x^2` `-` `x` `+` `1/3`
`3.` `(6x^5+4x^3-8x^2)` `:` `2x^2`
`=` `(6x^5:2x^2)` `+` `(4x^3:2x^2)` `-` `(8x^2:2x^2)`
`=` `3x^3` `+` `2x` `-` `4`
`4.` `(-2x^5+3x^2-4x^3)` `:` `2x^2`
`=` `(-2x^5:2x^2)` `+` `(3x^2:2x^2)` `-` `(4x^3:2x^2)`
`=` `-x^3` `+` `1,5` `-` `2x`
`=` `-x^3` `-` `2x` `+` `1,5`
`5.` `(25x^5-5x^4+10x^2)` `:` `5x^2`
`=` `(25x^5:5x^2)` `-` `(5x^4:5x^2)` `+` `(10x^2:5x^2)`
`=` `5x^3` `-` `x^2` `+` `2`
Chúc bạn học tốt ạ `!!!`
`color{darkslateblue}{#}``color{slateblue}color{mediumslateblue}{Quangnhan2k12}``color{plum}{౨ৎ}`
Hãy giúp mọi người biết câu trả lời này thế nào?
![]()
Bảng tin