

Giải hộ mình 2 câu này với
Hãy luôn nhớ cảm ơn và vote 5*
nếu câu trả lời hữu ích nhé!
Đáp án+Giải thích các bước giải:
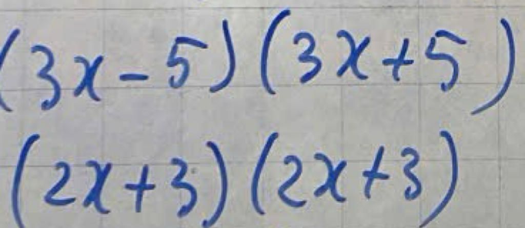
`(3x-5).(3x+5)`
`=3x.(3x+5)-5.(3x+5)`
`=3x.3x+3x.5-5.3x-5.5`
`=9x^{2}+15x-15x-25`
`=9x^{2}-25`
_____________________
`(2x+3).(2x+3)`
`=2x.(2x+3)+3.(2x+3)`
`=2x.2x+2x.3+3.2x+3.3`
`=4x^{2}+6x+6x+9`
`=4x^{2}+12x+9`
Hãy giúp mọi người biết câu trả lời này thế nào?
![]()
Bảng tin