

Hãy luôn nhớ cảm ơn và vote 5*
nếu câu trả lời hữu ích nhé!
`\color{#145277}{N}\color{#246483}{a}\color{#34768F} {e}\color{#44889B}{u}\color{#539AA7}{n}`
Đáp án `+` Giải thích các bước giải:
Hãy giúp mọi người biết câu trả lời này thế nào?
![]()

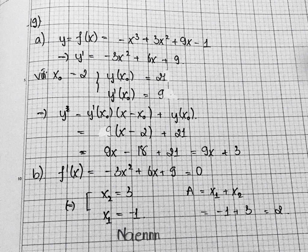
Đáp án:
a.$y=9x+3$
b.$2$
Giải thích các bước giải:
a.Ta có:
$21=-2^3+3\cdot 2^2+9\cdot 2-1 $
$\to M(2, 21)\in (C)$
Ta có:
$f'(x)=(-x^3+3x^2+9x-1)'=-3x^2+6x+9$
Tiếp tuyến của $(C)$ tại $M(2,21)$ là:
$y=(-3\cdot 2^2+6\cdot 2+9)(x-2)+21\to y=9x+3$
b.Ta có:
$f'(x)=0$
$\to -3x^2+6x+9=0$
$\to x_1+x_2=\dfrac{-6}{-3}=2$
Hãy giúp mọi người biết câu trả lời này thế nào?
![]()
Bảng tin