Vui lòng chỉ chọn một câu hỏi
Hoidap247.com Nhanh chóng, chính xác
+
Danh mục mới
0
212
Câu 4: ( 1,0 điểm) Trong một hộp có 5 quả bóng đỏ và 3 quả bóng xanh có kích thướcvà khối lượng như nhau. Chọn ngẫu nhiên 1 quả bóng từ hộp. Tính xác suất của biến cốA để chọn được quả bóng đỏ ?
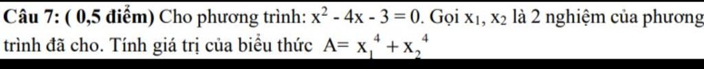
Giúp ạ
Xem thêm:
Bảng tin
Gửi yêu cầu Hủy