

Hãy luôn nhớ cảm ơn và vote 5*
nếu câu trả lời hữu ích nhé!

Đáp án:
Giải thích các bước giải:
\[\begin{array}{l}
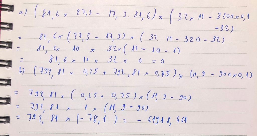
a)\,\left( {81,6 \times 27,3 - 17,3 \times 81,6} \right) \times \left( {32 \times 11 - 3200 \times 0,1 - 32} \right)\\
= \left( {81,6 \times 27,3 - 17,3 \times 81,6} \right) \times \left( {352 - 320 - 32} \right)\\
= \left( {81,6 \times 27,3 - 17,3 \times 81,6} \right) \times 0\\
= 0\\
b)\,\left( {792,81 \times 0,25 + 792,81 \times 0,75} \right) \times \left( {11,9 - 900 \times 0,1} \right)\\
= \left[ {792,81 \times \left( {0,25 + 0,75} \right)} \right] \times \left( {11,9 - 90} \right)\\
= 792,81 \times \left( { - 78,1} \right)\\
= - 61918,461
\end{array}\]
Hãy giúp mọi người biết câu trả lời này thế nào?
Bảng tin
43
347
16
Câu a bạn làm đúng nhưng câu b làm sai rồi câu b phải = 0 mới đúng
740
5660
535
câu B có sai đề ko bạn, chứ mình bấm máy kiểm tra rồi nha bạn?
43
347
16
mình viết nhầm đè nha đè phải là : [792,81x0,25+792,81x0,75] x [11,9-900x0,1-9]