Vui lòng chỉ chọn một câu hỏi
Hoidap247.com Nhanh chóng, chính xác
+
Danh mục mới
1
280
0
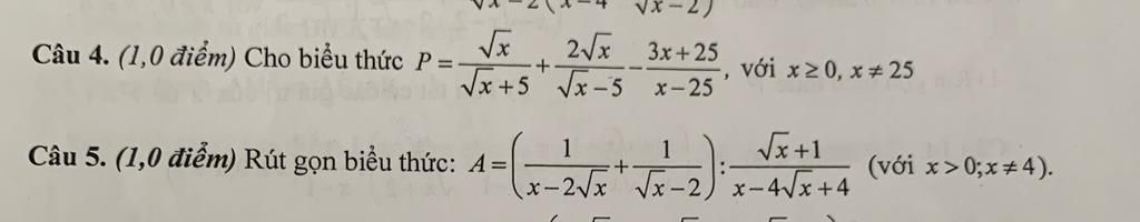
giiup minh với ahhhhhhhhhhhh
Xem thêm:
Bảng tin
Gửi yêu cầu Hủy