Vui lòng chỉ chọn một câu hỏi
Hoidap247.com Nhanh chóng, chính xác
+
Danh mục mới
1
8
Cứu em 1 câu đạo hàm huhu
Hãy luôn nhớ cảm ơn và vote 5* nếu câu trả lời hữu ích nhé!
5009
656
1458
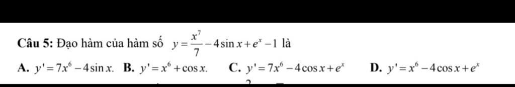
Đáp án:
`y = (x^7)/7 -4sinx+e^x-1`
`y' = ((x^7)/7)' -4.(sinx)' + (e^x)' -1'`
`= x^6 -4cosx +e^x`
`->` Chọn `D`
Hãy giúp mọi người biết câu trả lời này thế nào?
a/chi cho e hỏi x^7/7 chuyển sao vậy chỉ e với đc ko
`((x^7)/7)' = (7.x^6)/7 = x^6`
2830
40880
1620
`y' = (x^7/7-4sinx +e^x-1)'`
`=(x^7/7)'-(4sinx)' +(e^x)'-1'`
`=x^6 -4cosx +e^x`
`=> D`
Bảng tin
Gửi yêu cầu Hủy
1
8
1
a/chi cho e hỏi x^7/7 chuyển sao vậy chỉ e với đc ko
5009
656
1458
`((x^7)/7)' = (7.x^6)/7 = x^6`