

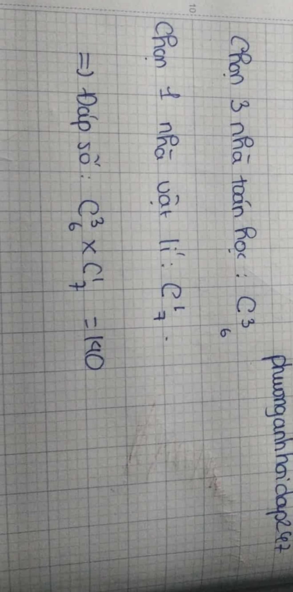
Một cuộc họp có sự tham gia của 6 nhà toán học trong đó có 4 nam và 2 nữ , 7 nhà vật lý trong đó có 3 Nam và 4 nữ và 8 nhà hóa học trong đó có 4 Nam và 4 nữ .Người ta muốn lập một ban thư ký gồm 4 nhà khoa học. Hỏi có bao nhiêu cách chọn 1 ban thư ký gồm có 3 nhà Toán học và 1 nhà Vật lý
Hãy luôn nhớ cảm ơn và vote 5*
nếu câu trả lời hữu ích nhé!
Không gian mẫu là 4C21 =5985 lấy 4 trong tổng 21 người
TH1: 2 Toán, 1 Lý 1 Hoá.
6C2. 7C1. 8C1 = 840
Loại toàn nam: 4C2.3C1.4C1= 72
Loại toàn nữ: 2C2. 4C1 .4C1 = 16
Lấy tổng trừ đi phần loại toàn nam và nữ
840-(72+16)=752
TH2: 1T 2L 1H
6C1. 7C2.8C1= 1008
Loại toàn nam: 4C1.3C2.4C1= 48
Loại toàn nữ: 2C1. 4C2.4C1= 48
Lấy tổng trừ đi phần loại toàn nam và nữ ta ra kết quả là: 912
TH3: 1T, 1L,2H
Tương tự như các trường hợp trên ta ra kết quả là 1056
Vậy 752+ 912+1056=2720
Tính xác suất 2720/5985=0,454
Hãy giúp mọi người biết câu trả lời này thế nào?
Bảng tin