Tham Gia Group Dành Cho Lớp 9 - Ôn Thi Vào Lớp 10 Miễn Phí
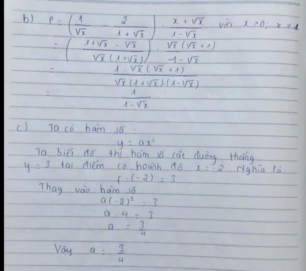
b) Rút gọn biểu thức P =
1
2
x+√x
với x>0,x#1.
√√√x 1+ √x 1-√x
c) Xác định hệ số a của hàm số bậc hai y= f (x)=ax’, biết đồ thị hàm số đã cho
cắt đường thẳng d : y=3 tại điểm có hoành độ bằng –2.