Vui lòng chỉ chọn một câu hỏi
Hoidap247.com Nhanh chóng, chính xác
+
Danh mục mới
0
giúp tớ bài này với sắp đến giờ đi học ròi ạ
Hãy luôn nhớ cảm ơn và vote 5* nếu câu trả lời hữu ích nhé!
2
-1
1
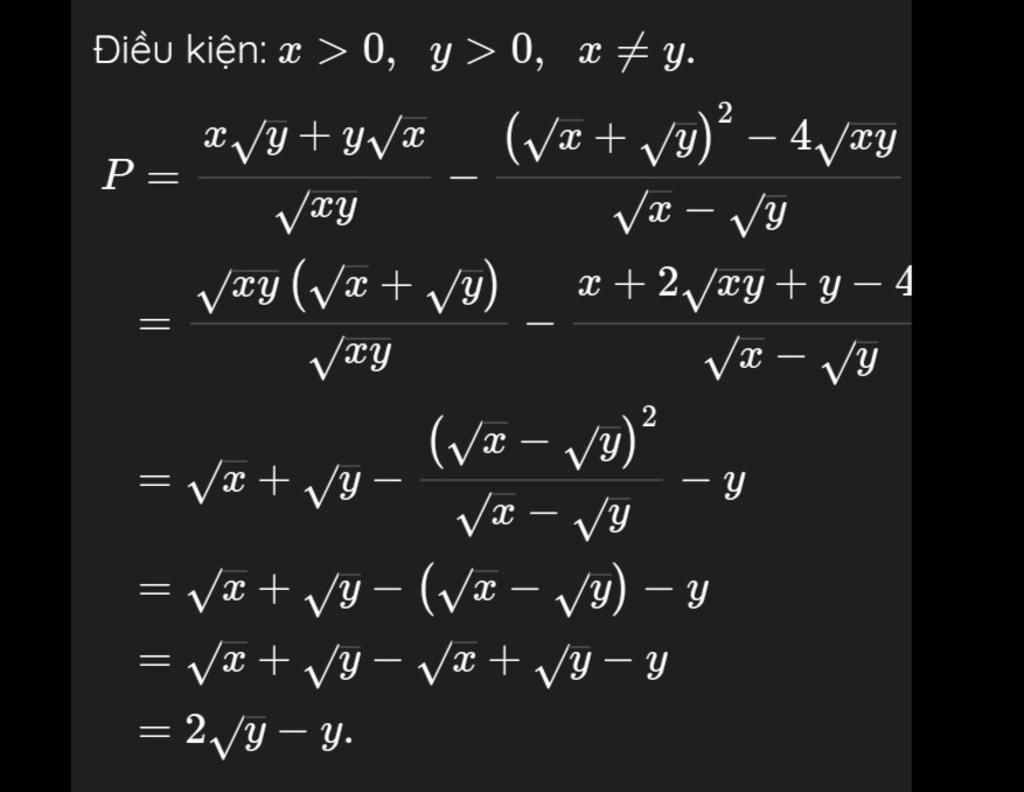
Đáp án:
Giải thích các bước giải:
Hãy giúp mọi người biết câu trả lời này thế nào?
Xem thêm:
39
704
15
Mình gửi ạ.
Bảng tin
Gửi yêu cầu Hủy