Đăng nhập để hỏi chi tiết


Hãy luôn nhớ cảm ơn và vote 5*
nếu câu trả lời hữu ích nhé!
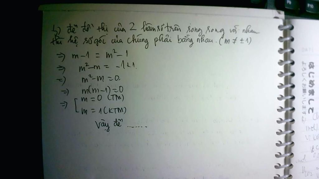
$\text{y = (m-1)x+3 // y=(m^2-1)x+5 khi và chỉ khi :}$
`m - 1 = m^2 - 1`
$\text{3 ≠ 5 (luôn đúng)}$
`m^2 - 1 - m + 1 = 0`
`m^2 - m = 0`
`m.(m-1)=0`
`m = 0` hoặc `m=1`
$\text{Vậy m = 0 hoặc 1 thì hai hàm số trên song song với nhau}$
Hãy giúp mọi người biết câu trả lời này thế nào?

Bảng tin