

Làm hộ mình với càng nhanh càng tốt
Hãy luôn nhớ cảm ơn và vote 5*
nếu câu trả lời hữu ích nhé!
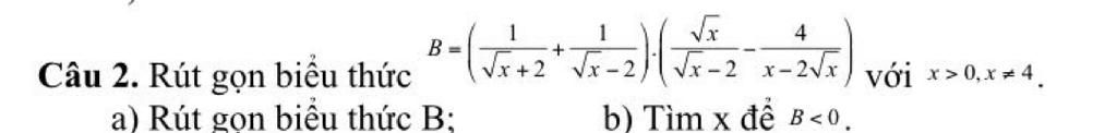
`a,B= ( 1/(\sqrt{x}+2) +1/(\sqrt{x}-2) ) * ( (\sqrt{x})/(\sqrt{x}-2) -4/(x-2\sqrt{x}) )`
`= (\sqrt{x}-2+\sqrt{x}+2)/((\sqrt{x}-2)(\sqrt{x}+2)) * ( (\sqrt{x})/(\sqrt{x}-2) -4/(\sqrt{x}(\sqrt{x}-2)) )`
`= (2\sqrt{x})/((\sqrt{x}-2)(\sqrt{x}+2)) * (x-4)/(\sqrt{x}(\sqrt{x}-2))`
`=(2\sqrt{x})/((\sqrt{x}-2)(\sqrt{x}+2)) * ((\sqrt{x}-2)(\sqrt{x}+2))/(\sqrt{x}(\sqrt{x}-2))`
`=2/(\sqrt{x}-2)`
`b,` Để `B<0` ta có :
`2/(\sqrt{x}-2) < 0`
`<=> \sqrt{x}-2 <0` ( vì `2 >0` )
`<=>\sqrt{x} < 2`
`<=> x < 4`
Kết hợp đk `x>0->0<x<4`
Vậy để `B<0` thì `0<x<4`
Hãy giúp mọi người biết câu trả lời này thế nào?
`a)B=(1/(sqrtx+2)+1/(sqrtx-2) ) .(sqrtx/(sqrtx-2)-4/(x-2sqrtx))(x>0;xne4)`
`=(sqrtx-2+sqrtx+2)/((sqrtx-2)(sqrtx+2)) . (sqrtx/(sqrtx-2)-4/(sqrtx(sqrtx-2)))`
`=(2sqrtx)/((sqrtx-2)(sqrtx+2)) . (sqrtx.sqrtx-4)/(sqrtx(sqrtx-2))`
`=2/(x-4) . (x-4)/(sqrtx-2)`
`=2/(sqrtx-2)`
b)
`B<0`
mà `2>0`
`=>sqrtx-2<0`
`<=>x<4`
Kết hợp điều kiện `=>0<x<4`
Hãy giúp mọi người biết câu trả lời này thế nào?
Bảng tin